Open Access

Fig. 10

image

Download original image

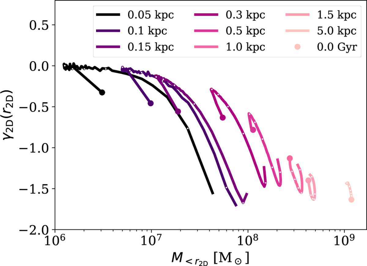
Projected logarithmic density profile slope as a function of projected enclosed mass. For our most highly resolved simulation evolved in isolation (simulation Q from Table A.1), we show how the projected logarithmic density profile slope, γ2D, and the projected enclose mass, M<r2D, evolve with time. We display γ2D and M<r2D for several radii r2D (see inset for legend). The larger circles mark the value at the beginning of the simulation, i.e. for an NFW profile. Moreover, the small white dots are placed equidistant in time, every 0.98 Gyr.

Current usage metrics show cumulative count of Article Views (full-text article views including HTML views, PDF and ePub downloads, according to the available data) and Abstracts Views on Vision4Press platform.

Data correspond to usage on the plateform after 2015. The current usage metrics is available 48-96 hours after online publication and is updated daily on week days.

Initial download of the metrics may take a while.