Fig. 4.

Download original image
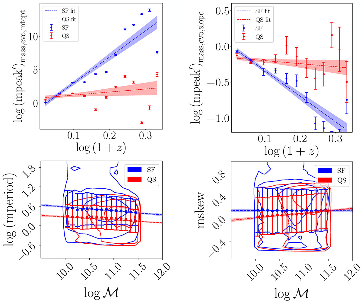
Dependence of the SFH shape parameters on galaxy redshifts and stellar mass. The fraction of the galaxy age at which the SFH peaks, log(mpeak′), linearly depends on the galaxy stellar mass and its coefficients in turn depend on the galaxy redshift. The upper panels show the dependence of the slope, log(mpeak′)mass, evo, slope, and the intercept, log(mpeak′)mass, evo, intcpt, on redshift. Red error bars refer to quiescent galaxies from the mass-complete GAMA and DEVILS sample, while blue error bars refer to star-forming galaxies. The dashed lines represent the best-fitting linear relations for the redshift evolution of these parameters, while the red and blue bands represent the 1σ uncertainty on the fit. The lower panels instead show the dependence of log(mperiod) and mskew on the galaxy stellar mass. The error bars refer to the median and standard deviation of these quantities computed in bins of 0.1 dex in stellar mass, overlayed on top of the overall distribution. Dashed lines and colour bands represent best-fitting linear relations and 1σ uncertainty on the fit for the populations of red and blue galaxies.
Current usage metrics show cumulative count of Article Views (full-text article views including HTML views, PDF and ePub downloads, according to the available data) and Abstracts Views on Vision4Press platform.
Data correspond to usage on the plateform after 2015. The current usage metrics is available 48-96 hours after online publication and is updated daily on week days.
Initial download of the metrics may take a while.