Open Access

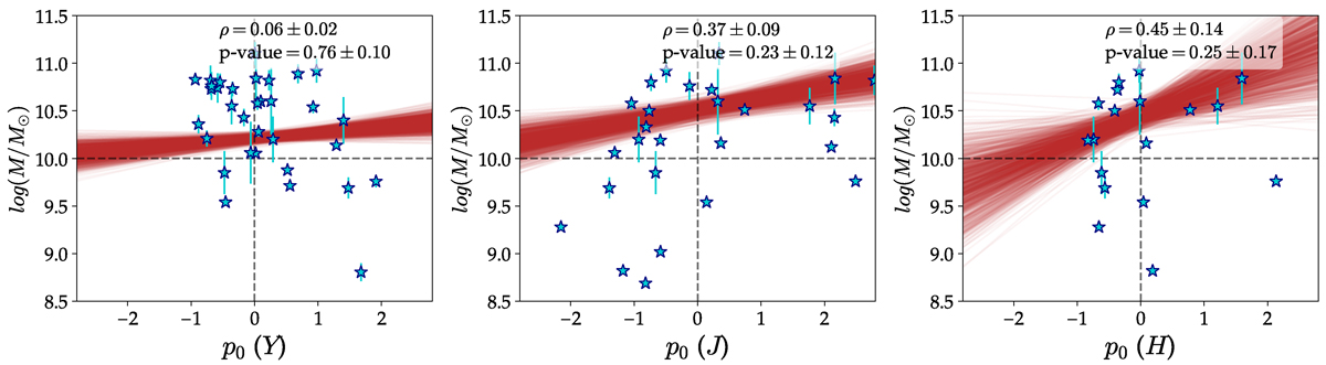
Fig. 7.

image

Download original image

Comparison between host-galaxy stellar mass, log10(M/M) and p0. The vertical dashed line marks p0 = 0.0, dividing the SN Ia sample at the mean, while the horizontal lines mark log10(M/M) = 10, commonly used for splitting SNe Ia samples into high- and low-mass hosts.

Current usage metrics show cumulative count of Article Views (full-text article views including HTML views, PDF and ePub downloads, according to the available data) and Abstracts Views on Vision4Press platform.

Data correspond to usage on the plateform after 2015. The current usage metrics is available 48-96 hours after online publication and is updated daily on week days.

Initial download of the metrics may take a while.