Open Access

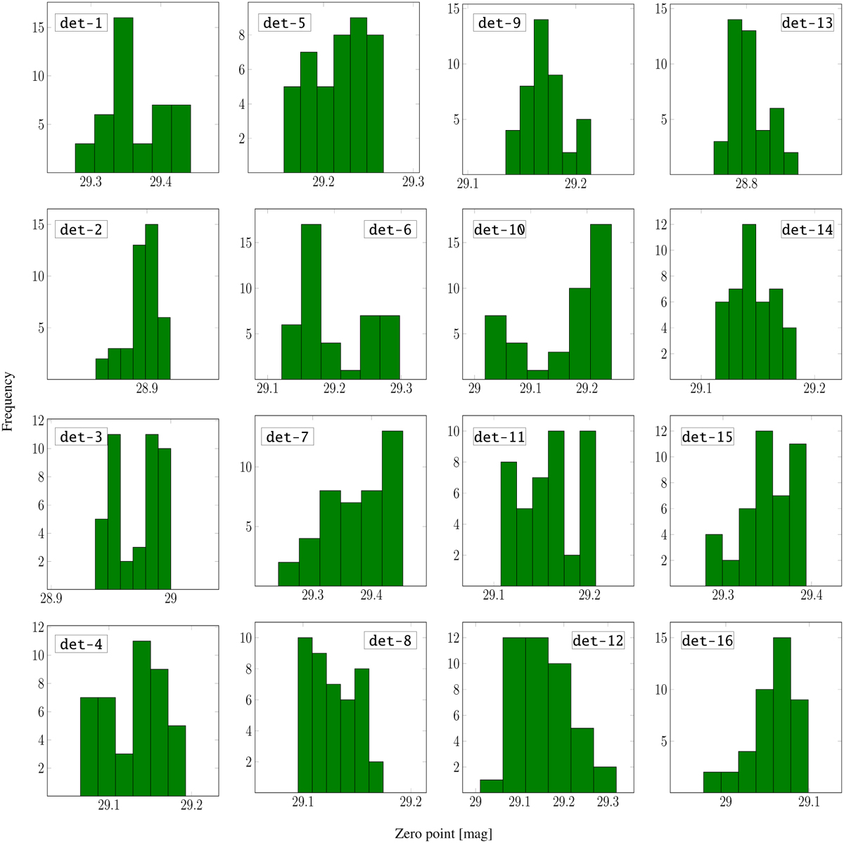
Fig. C.1

image

Download original image

Histogram of photometric zero points derived for 42 images obtained over a single night, covering all 16 detectors. Zero points were estimated using σ-clipping (3σ with a tolerance of 0.1), based on calibration sources with AB magnitudes between 14 and 16 from the 2MASS catalogue.

Current usage metrics show cumulative count of Article Views (full-text article views including HTML views, PDF and ePub downloads, according to the available data) and Abstracts Views on Vision4Press platform.

Data correspond to usage on the plateform after 2015. The current usage metrics is available 48-96 hours after online publication and is updated daily on week days.

Initial download of the metrics may take a while.