Open Access

Fig. D.2.

image

Download original image

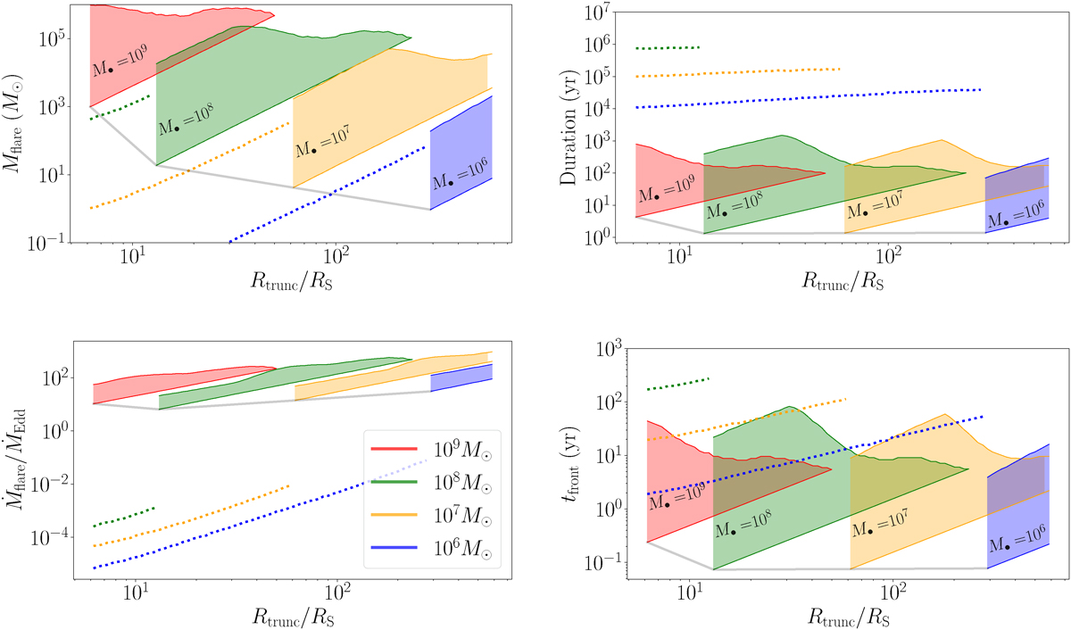
Outburst parameters for giant flares (coloured areas) and normal flares (dotted lines) vs inner truncation radius of quiescent geometrically thin disc. From top to bottom, from left to right: Mass involved in a flare (14), estimated peak accretion rate (13), characteristic flare duration (5), and rise time (11). The upper boundaries of the coloured areas correspond to the case when the disc is heated to the radius Rout,max, the lower boundaries to the conservative assumption Rout = Rtrunc + z0 (see Sect. 4). The lower grey line illustrates the limits for intermediate masses. For 109 M, ionisation instability always ignites a giant flare.

Current usage metrics show cumulative count of Article Views (full-text article views including HTML views, PDF and ePub downloads, according to the available data) and Abstracts Views on Vision4Press platform.

Data correspond to usage on the plateform after 2015. The current usage metrics is available 48-96 hours after online publication and is updated daily on week days.

Initial download of the metrics may take a while.