Open Access

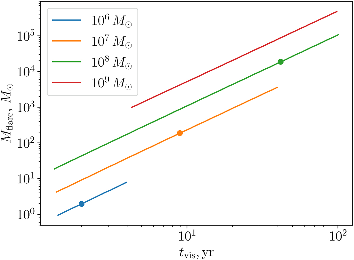
Fig. 10.

image

Download original image

Disc mass (12) involved in giant flare vs viscosity time (5). The dots mark the values corresponding to the ADAF truncation radius (9), shown in Fig. 7.

Current usage metrics show cumulative count of Article Views (full-text article views including HTML views, PDF and ePub downloads, according to the available data) and Abstracts Views on Vision4Press platform.

Data correspond to usage on the plateform after 2015. The current usage metrics is available 48-96 hours after online publication and is updated daily on week days.

Initial download of the metrics may take a while.