Open Access

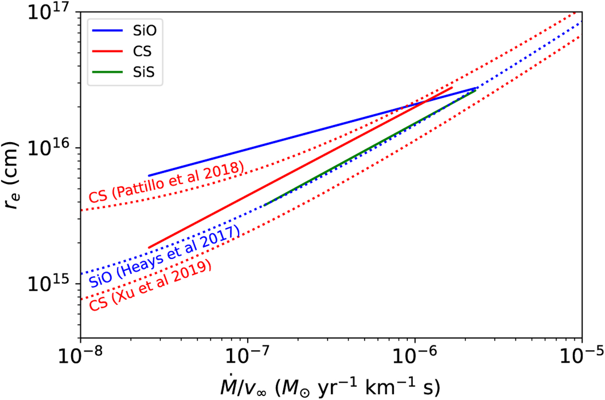
Fig. 7

image

Download original image

Relation between radial extent and envelope density according to the empirical fits and to the photodissociation model. The solid lines are the empirical fits given by Eqs. (8)(10), and the dotted lines are the predictions from the photodissociation model using different photodis-sociation rates from the literature (see text).

Current usage metrics show cumulative count of Article Views (full-text article views including HTML views, PDF and ePub downloads, according to the available data) and Abstracts Views on Vision4Press platform.

Data correspond to usage on the plateform after 2015. The current usage metrics is available 48-96 hours after online publication and is updated daily on week days.

Initial download of the metrics may take a while.