Open Access

Fig. B.2

image

Download original image

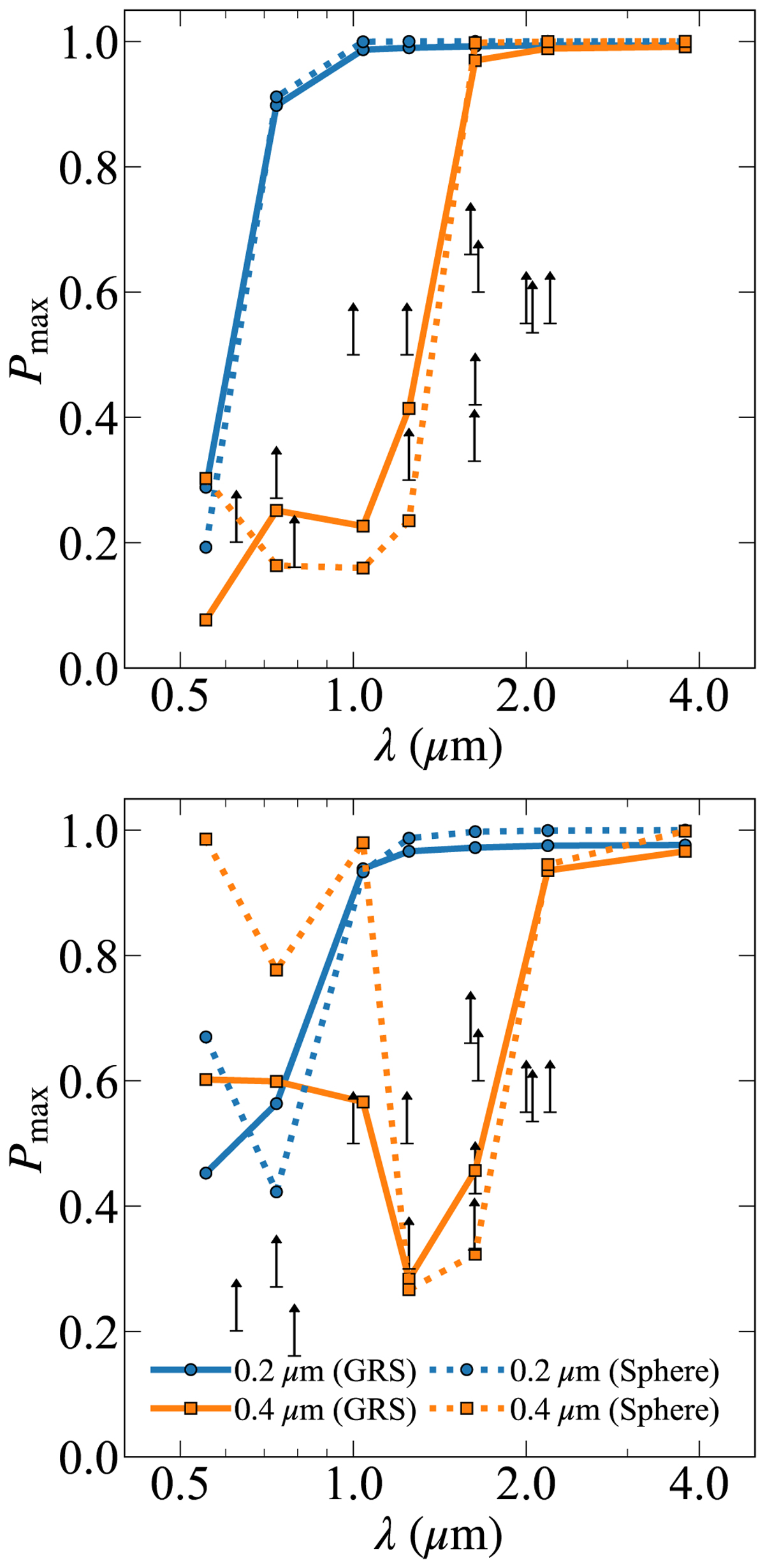
Effect of particle shape on the degree of polarization for the org (upper panel) and amc (lower panel) compositions. The blue and orange lines represent the results for RV = 0.2 μm and 0.4 μm, respectively. The solid and dashed lines represent the results for GRS particles and spherical particles, respectively.

Current usage metrics show cumulative count of Article Views (full-text article views including HTML views, PDF and ePub downloads, according to the available data) and Abstracts Views on Vision4Press platform.

Data correspond to usage on the plateform after 2015. The current usage metrics is available 48-96 hours after online publication and is updated daily on week days.

Initial download of the metrics may take a while.