Free Access

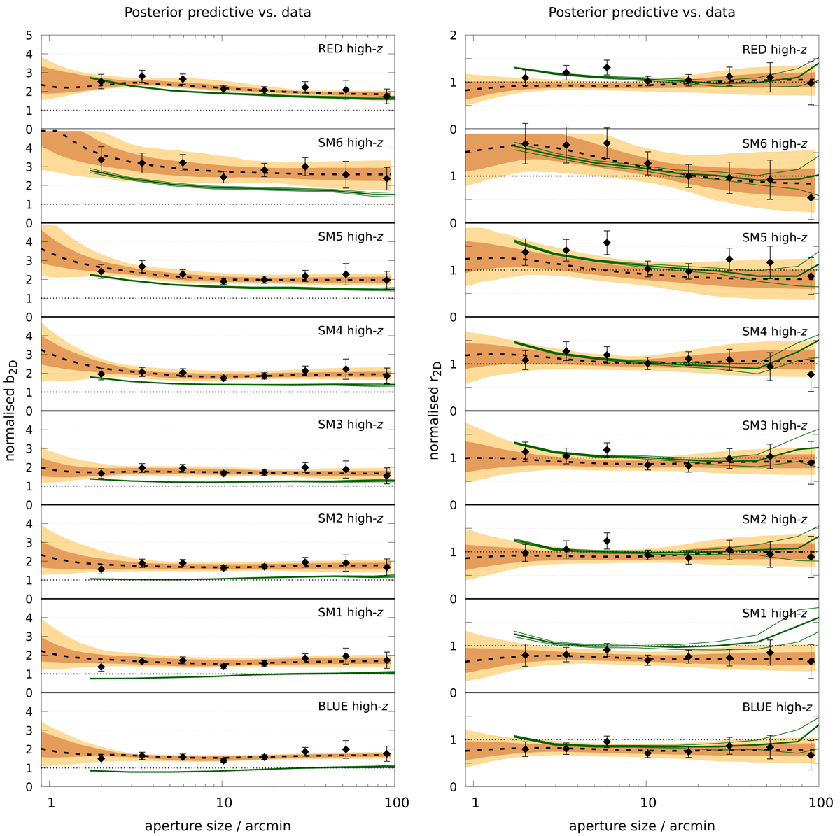
Fig. 6.

image

As in Fig. 5, but for the high-z samples. There are signs of a model misfit to r2D at around 6 arcmin, especially for RED and SM5. There is also weak evidence in favour of a stochastic bias, r2D <  1, for SM1 and BLUE at degree scales (bottom right panels).

Current usage metrics show cumulative count of Article Views (full-text article views including HTML views, PDF and ePub downloads, according to the available data) and Abstracts Views on Vision4Press platform.

Data correspond to usage on the plateform after 2015. The current usage metrics is available 48-96 hours after online publication and is updated daily on week days.

Initial download of the metrics may take a while.