Free Access

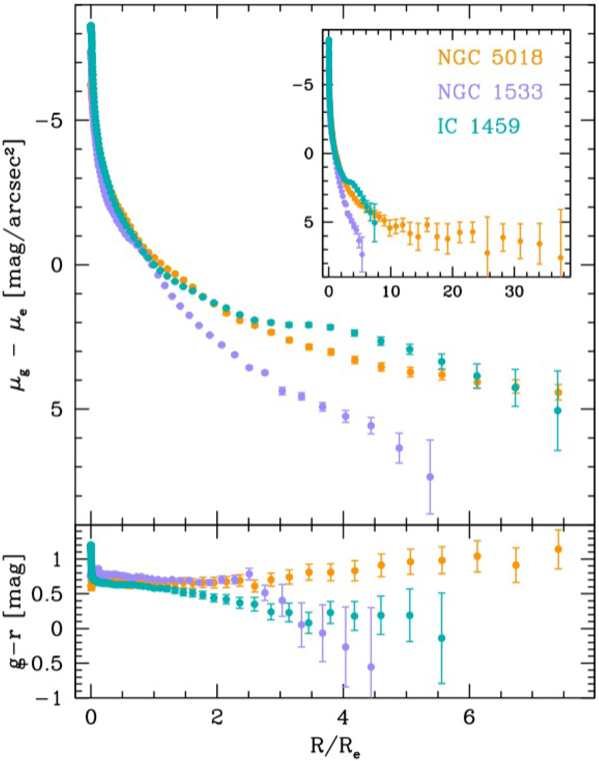
Fig. 8.

image

Azimuthally averaged surface-brightness (top panel) and colour normalised (bottom panel) radial profiles of NGC 5018 (orange), NGC 1533 (mauve), and IC 1459 (teal) in g band scaled to their effective surface brightness, μe, as a function of the semi-major axis normalised to the effective radius, R/Re.

Current usage metrics show cumulative count of Article Views (full-text article views including HTML views, PDF and ePub downloads, according to the available data) and Abstracts Views on Vision4Press platform.

Data correspond to usage on the plateform after 2015. The current usage metrics is available 48-96 hours after online publication and is updated daily on week days.

Initial download of the metrics may take a while.