Free Access

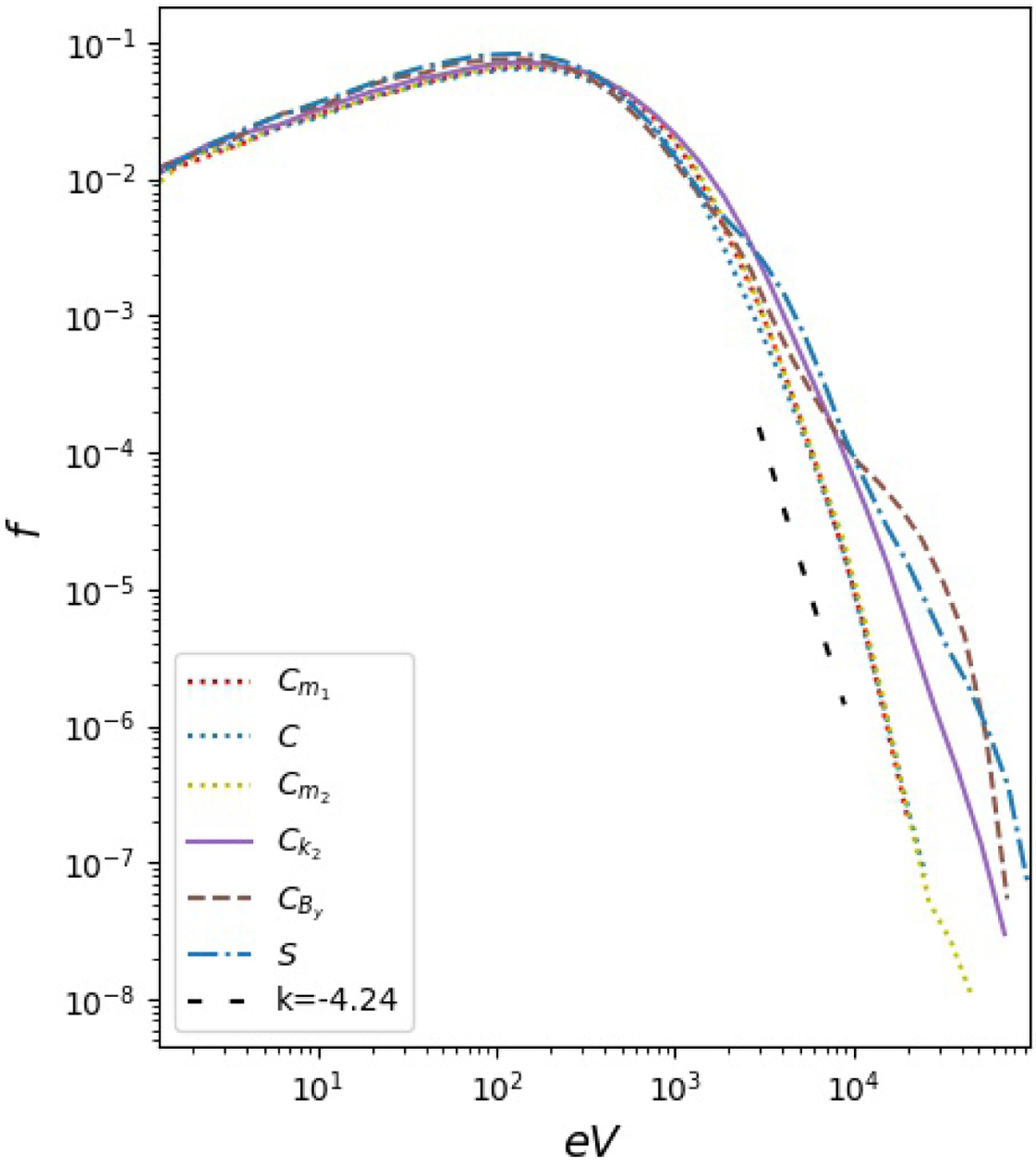
Fig. 9.

image

Energy spectra of electrons in the simulations which have been presented in Figs. 6 (“C”) and 8(“S”). “Cm1” and “Cm2” come from the 2.5D simulations with mi/me = 10.0 and mi/me = 200.0 using the same RCS parameters as the one in Fig. 6. The simulations of “Ck2” and “CBy” have different k( = 0.015625) and By(By/B0 = 1) from the one in Fig. 6. The dashed line represents a referential spectral line ∼E−4.2.

Current usage metrics show cumulative count of Article Views (full-text article views including HTML views, PDF and ePub downloads, according to the available data) and Abstracts Views on Vision4Press platform.

Data correspond to usage on the plateform after 2015. The current usage metrics is available 48-96 hours after online publication and is updated daily on week days.

Initial download of the metrics may take a while.