Free Access

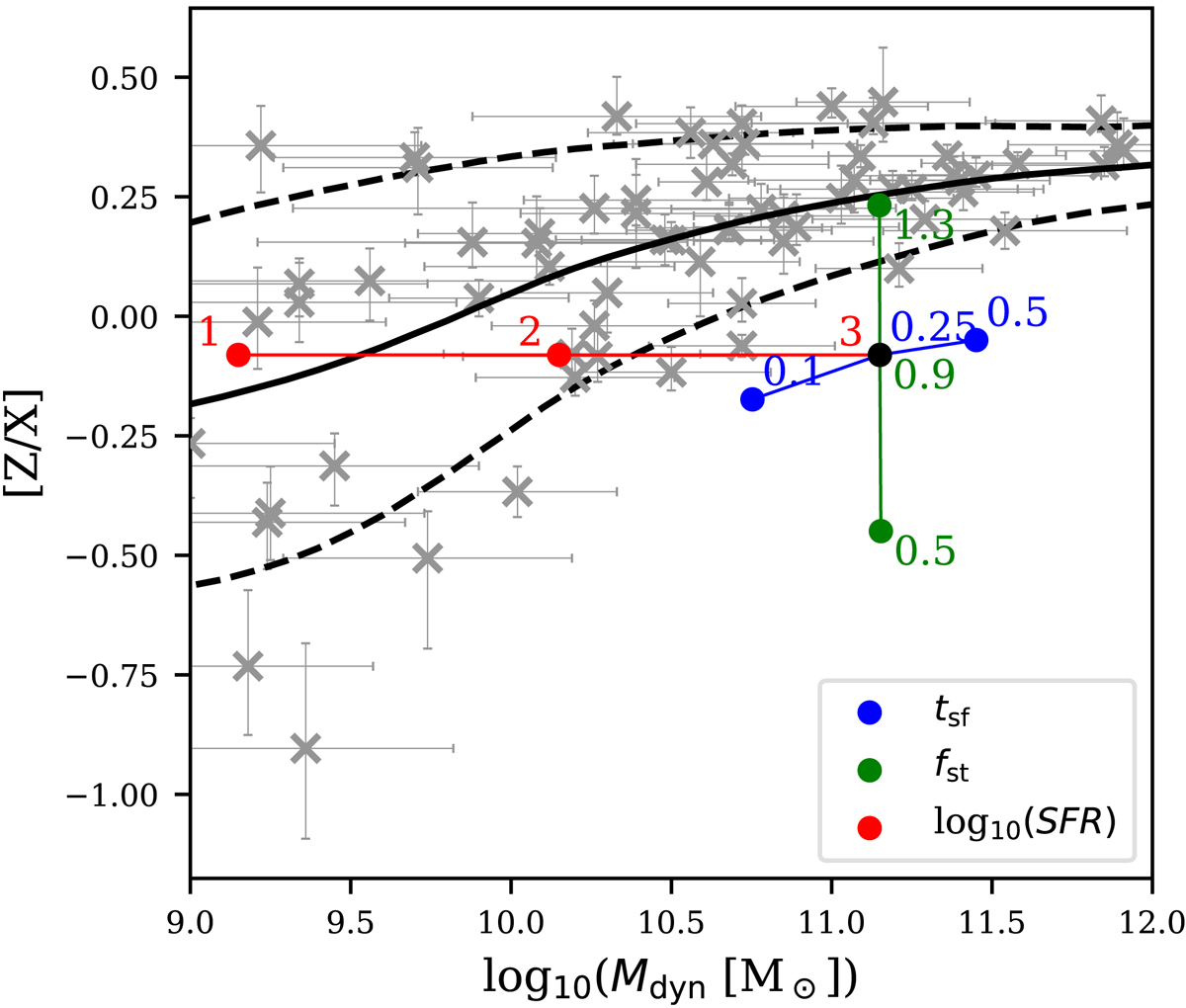
Fig. 1.

image

Observed relation between galaxy mass and metallicity, [Z/X] for local E- and S0-type galaxies. The [Z/X] data adopted from Arrigoni et al. (2010) are shown as crosses. The mean and standard deviation derived from the data are given as the solid and the dotted lines (see Sect. 2). Modeled stellar-mass-weighted [Z/X] of galaxies at 14 Gyr with a given SFT, tsf (0.1, 0.25, or 0.5 Gyr), accumulated star formation fraction, fst (0.5, 0.9, or 1.3), and SFR, SFR (10, 100, or 1000 M yr−1), assuming the invariant canonical gwIMF, are plotted with coloured filled circles. The results are shown when varying only one of the above parameters in comparison with the black filled circles.

Current usage metrics show cumulative count of Article Views (full-text article views including HTML views, PDF and ePub downloads, according to the available data) and Abstracts Views on Vision4Press platform.

Data correspond to usage on the plateform after 2015. The current usage metrics is available 48-96 hours after online publication and is updated daily on week days.

Initial download of the metrics may take a while.