Open Access

Fig. 4.

image

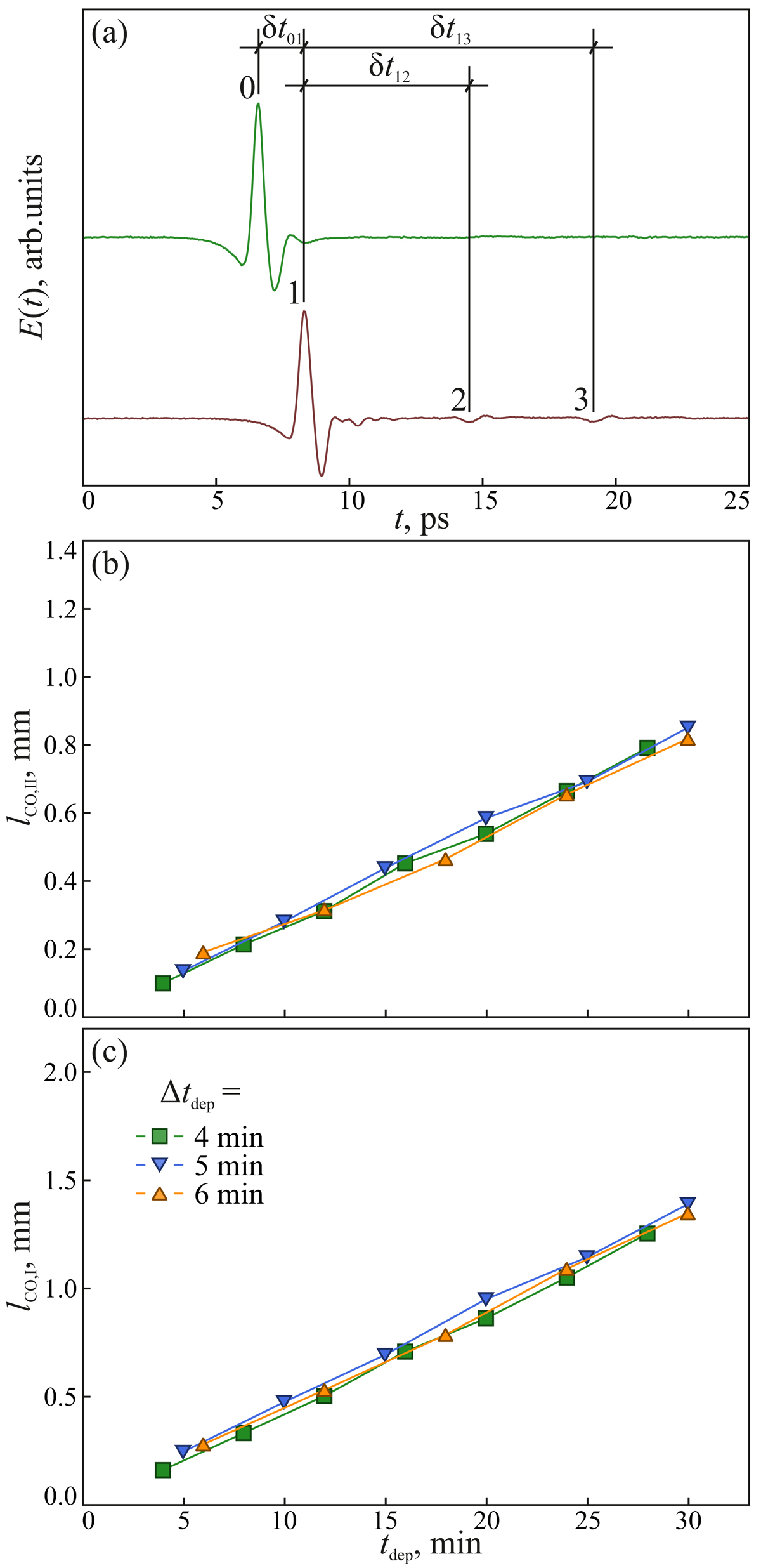
Calculation of the thicknesses lCO, I, lCO, II and the complex refractive index n of the CO ice films (see Fig. 3). Panel a: time delays between the ballistic THz pulses of the reference (0) and sample (1) waveforms, δt01; the first satellite pulse (2) and the ballistic pulse (1) of the sample waveform, δt12; and the second satellite pulse (3) and the ballistic pulse (1) of the sample waveform, δt13 (the pulses are delineated as in Fig. 3). Panels b and c: estimates for the thicknesses of the two ice films as a function of the total deposition time tdep for the different deposition intervals of Δtdep = 4, 5, and 6 min; the first assumption for the real part of the refractive index of ice is between and 1.255 ± 0.035; for the imaginary part we first set .

Current usage metrics show cumulative count of Article Views (full-text article views including HTML views, PDF and ePub downloads, according to the available data) and Abstracts Views on Vision4Press platform.

Data correspond to usage on the plateform after 2015. The current usage metrics is available 48-96 hours after online publication and is updated daily on week days.

Initial download of the metrics may take a while.