Open Access

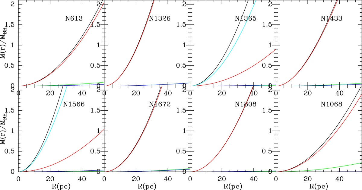
Fig. 8.

image

Representation of the enclosed mass as a function of radius, taking into account every component of the galfit 3.6 μm model (Table 5), with their respective geometry (spherical bulges, and flat disks and bars) for the eight galaxies. The vertical scale is normalized to their black hole mass, estimated from their central velocity dispersion (Table 6). The total mass is in black, the bulge in red, the disk in green, the bar in blue, and a possible nucleus in cyan.

Current usage metrics show cumulative count of Article Views (full-text article views including HTML views, PDF and ePub downloads, according to the available data) and Abstracts Views on Vision4Press platform.

Data correspond to usage on the plateform after 2015. The current usage metrics is available 48-96 hours after online publication and is updated daily on week days.

Initial download of the metrics may take a while.