Open Access

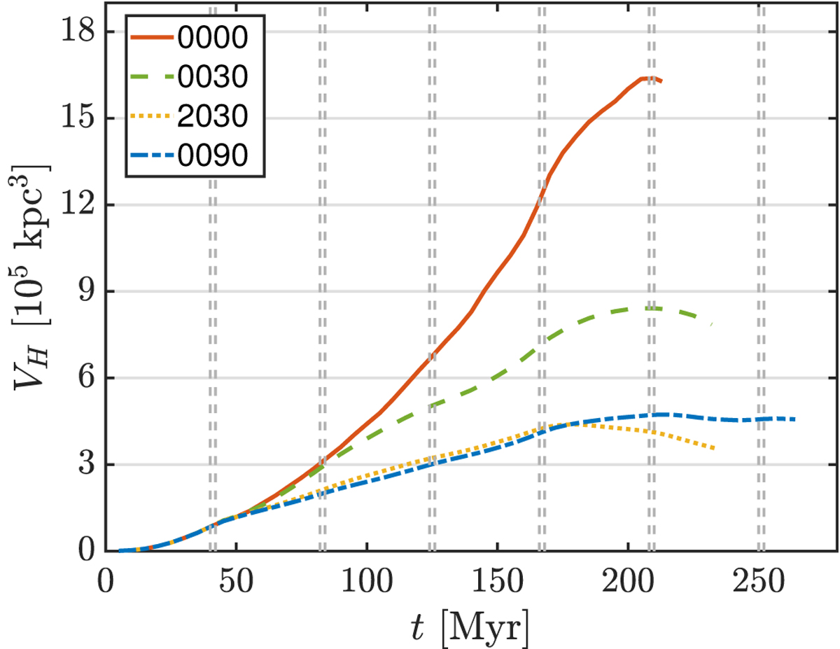
Fig. 7.

image

Actual total volume of the hot (T > 8 keV) cavities for the jetted runs. The vertical dash-dot grey lines mark the beginning and end of each jet event. Run 0030, and especially 0000, host very large cavity systems, as the jets keep inflating the same bubble complex throughout the whole run. The bubbles in run 0000 are the largest because the jets’ momentum has pushed them the furthest away from the cluster core and into a much lower pressure environment.

Current usage metrics show cumulative count of Article Views (full-text article views including HTML views, PDF and ePub downloads, according to the available data) and Abstracts Views on Vision4Press platform.

Data correspond to usage on the plateform after 2015. The current usage metrics is available 48-96 hours after online publication and is updated daily on week days.

Initial download of the metrics may take a while.