Open Access

Fig. 9

image

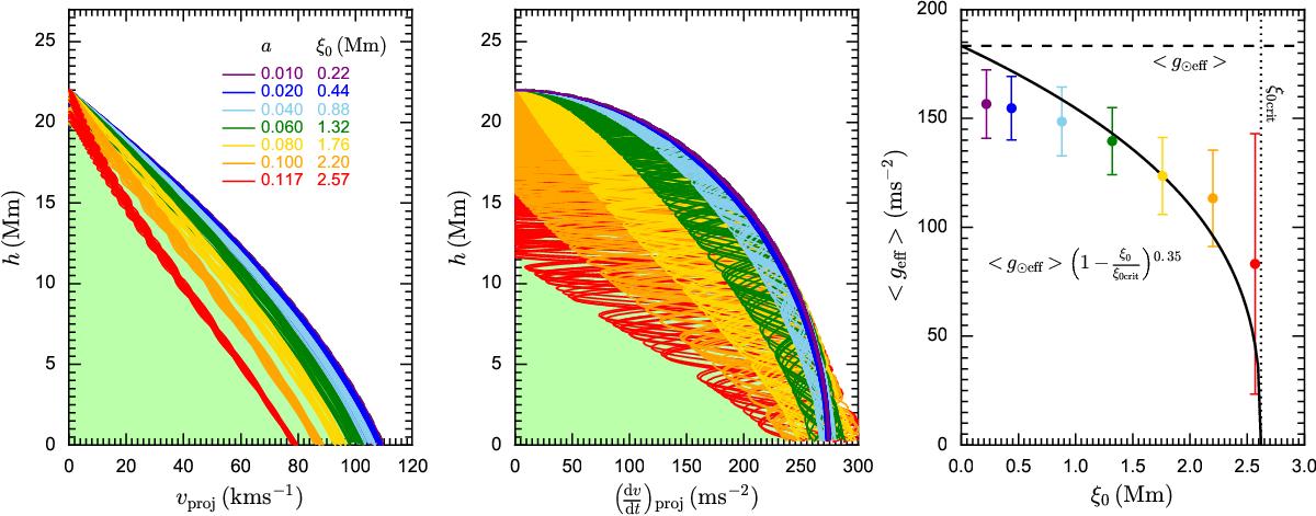
Left and middle: simulated kinematics the height of rain blobs as a function of plane-of-the sky projected speed for a range of transverse oscillations amplitudes for a circular loop of length 70 Mm. Kinematic tracks for different amplitudes are represented by different colours. The green area represents the sub-ballistic regime. Right: effective acceleration as defined by Eq. (30) as a function of oscillation displacement amplitude. The effective gravity and critical displacement amplitude are highlighted. The solid curve is a best power-law fit within the constraints that it is equal to g⊙ eff for a = 0 and 0 for a = acrit.

Current usage metrics show cumulative count of Article Views (full-text article views including HTML views, PDF and ePub downloads, according to the available data) and Abstracts Views on Vision4Press platform.

Data correspond to usage on the plateform after 2015. The current usage metrics is available 48-96 hours after online publication and is updated daily on week days.

Initial download of the metrics may take a while.