Open Access

Fig. 12

image

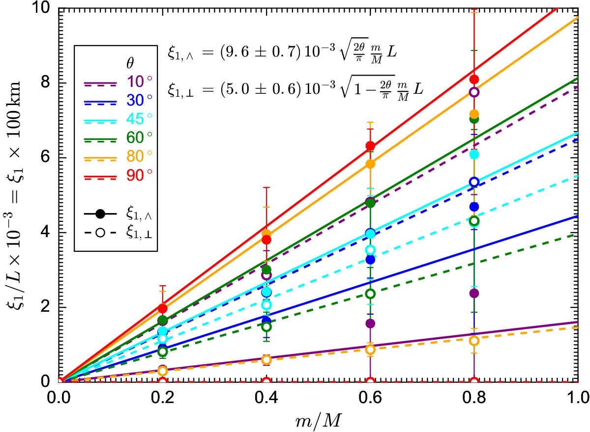
Oscillation amplitude of the fundamental harmonic of a horizontally and vertically polarised transverse oscillation as a function of coronal rain mass m/M for the same loop as in Fig. 11 for several loop inclination angles and with τ1 → ∞ and tramp = 0 s. Initially the rain blob is located at 0.745L with zero speed.

Current usage metrics show cumulative count of Article Views (full-text article views including HTML views, PDF and ePub downloads, according to the available data) and Abstracts Views on Vision4Press platform.

Data correspond to usage on the plateform after 2015. The current usage metrics is available 48-96 hours after online publication and is updated daily on week days.

Initial download of the metrics may take a while.