Free Access

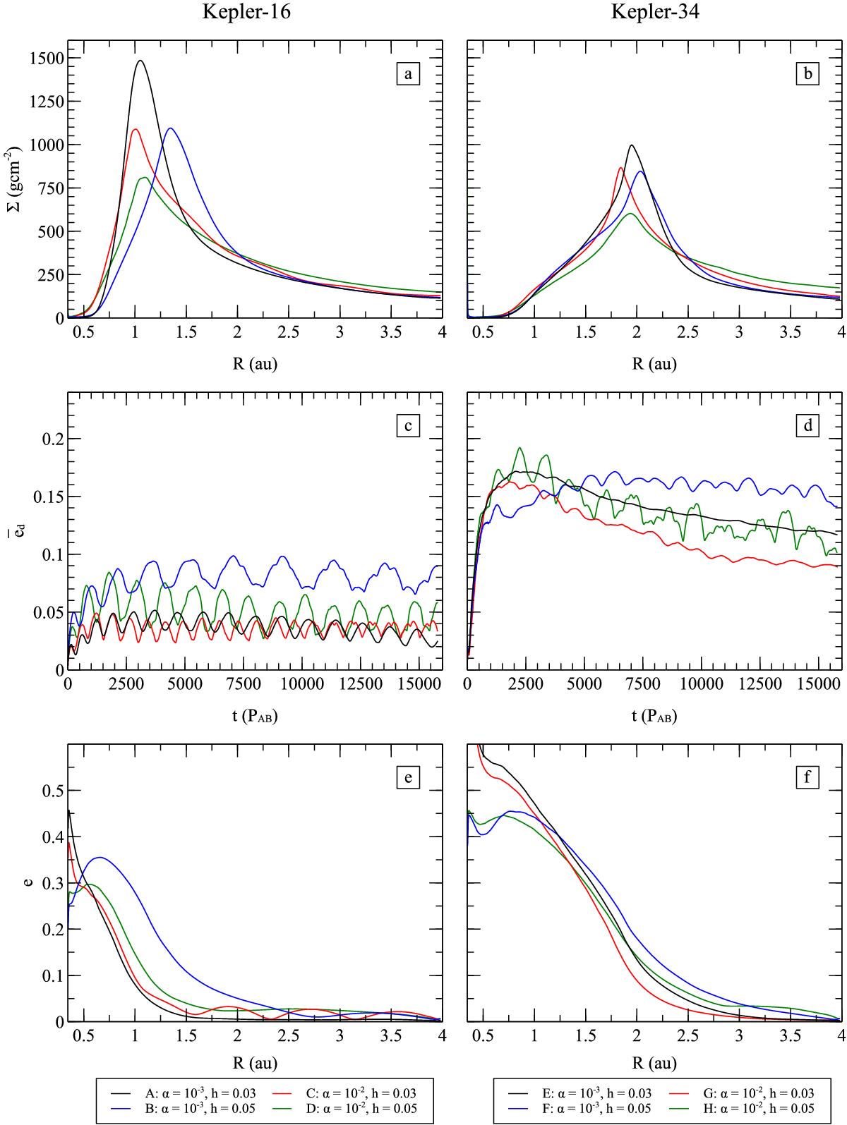
Fig. 3

image

Time-averaged quasi-steady state surface density profiles (a) and b)), Σ, and time evolution of disk mean eccentricity (c) and d)), , and time-averaged radial eccentricity profiles e) and f), e), for Kepler-16 (Models A–D) and Kepler-34 (Models E–H) under non self-gravitating conditions. Time-averaging is over the last 1000 binary orbits of the simulations.

Current usage metrics show cumulative count of Article Views (full-text article views including HTML views, PDF and ePub downloads, according to the available data) and Abstracts Views on Vision4Press platform.

Data correspond to usage on the plateform after 2015. The current usage metrics is available 48-96 hours after online publication and is updated daily on week days.

Initial download of the metrics may take a while.