Planck 2013 results
Free Access

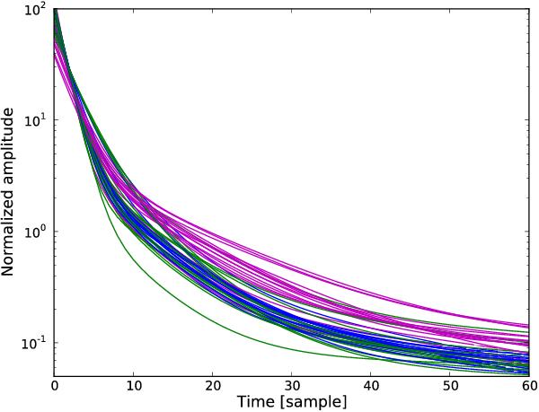
Fig. 4

image

Short glitch templates for all detectors obtained using the method discussed in Sect. 3.1.4. Blue lines are for PSB-a, green for PSB-b, and magenta for SWB (see Fig. 2 for the definition of the “a” and “b” bolometers in a PSB pair). One sample corresponds to 5 ms.

Current usage metrics show cumulative count of Article Views (full-text article views including HTML views, PDF and ePub downloads, according to the available data) and Abstracts Views on Vision4Press platform.

Data correspond to usage on the plateform after 2015. The current usage metrics is available 48-96 hours after online publication and is updated daily on week days.

Initial download of the metrics may take a while.