Free Access

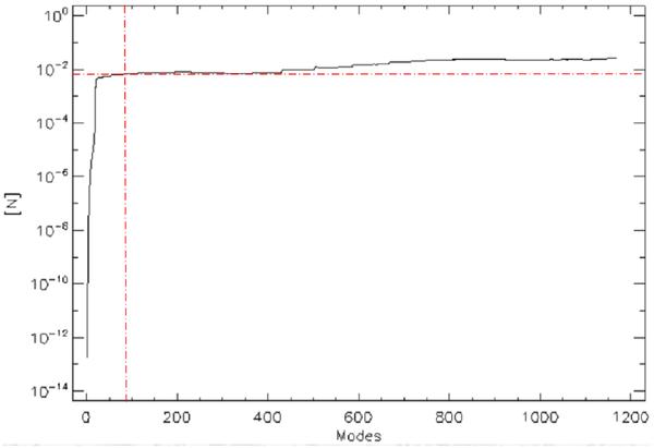
Fig. 8

thumbnail

Rms force versus number of corrected modes. This curve shows that the maximal force used for the flattening of the deflection function errors is lower than 0.025N, below the 0.1N specification. Dotted lines illustrate the force needed to correct the first 85 modes.

Current usage metrics show cumulative count of Article Views (full-text article views including HTML views, PDF and ePub downloads, according to the available data) and Abstracts Views on Vision4Press platform.

Data correspond to usage on the plateform after 2015. The current usage metrics is available 48-96 hours after online publication and is updated daily on week days.

Initial download of the metrics may take a while.