Open Access
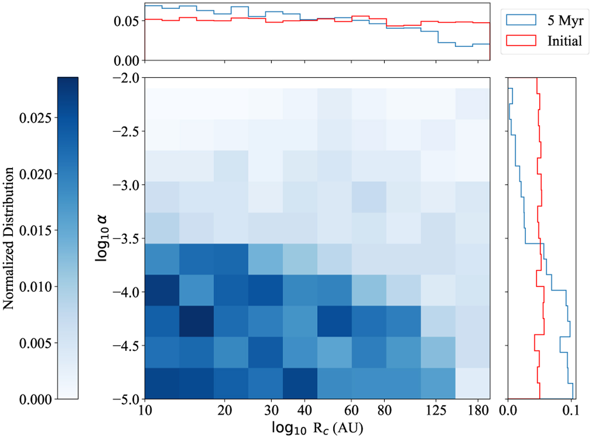
Fig. 5

Download original image
Distribution of disks with certain characteristic radius, Rc, and viscosity parameter, α, that survive after 5 Myr of evolution, assuming that the gas disk is dispersed when losing 90% of the initial mass. The red and blue lines represent the distributions at birth and 5 Myr, respectively.
Current usage metrics show cumulative count of Article Views (full-text article views including HTML views, PDF and ePub downloads, according to the available data) and Abstracts Views on Vision4Press platform.
Data correspond to usage on the plateform after 2015. The current usage metrics is available 48-96 hours after online publication and is updated daily on week days.
Initial download of the metrics may take a while.