Open Access

Fig. 6

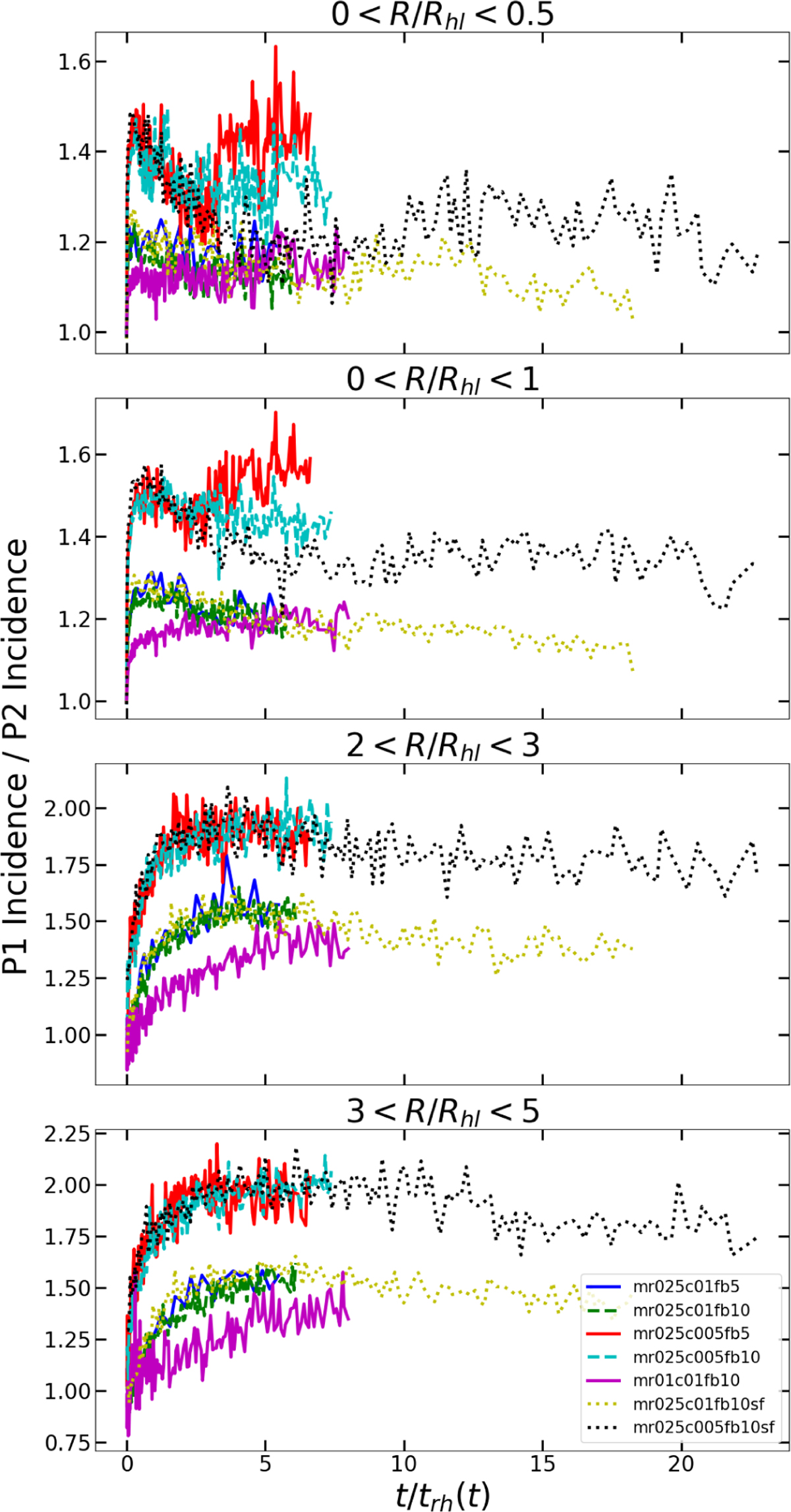
Fig. 6 Refer to the following caption and surrounding text.

Download original image

Time evolution of the ratio of the local P1 binary incidence to the local P2 binary incidence in four radial regions; within 0.5 projected half-light radii, within 1 projected half-light radius, between 2 and 3 projected half-light radii, and between 3 and 5 projected half-light radii, from top to bottom respectively. Incidence refers to the fraction of objects within each population that are binaries (see Eq. (3)).

Current usage metrics show cumulative count of Article Views (full-text article views including HTML views, PDF and ePub downloads, according to the available data) and Abstracts Views on Vision4Press platform.

Data correspond to usage on the plateform after 2015. The current usage metrics is available 48-96 hours after online publication and is updated daily on week days.

Initial download of the metrics may take a while.