Open Access

Fig. 4

Fig. 4 Refer to the following caption and surrounding text.

Download original image

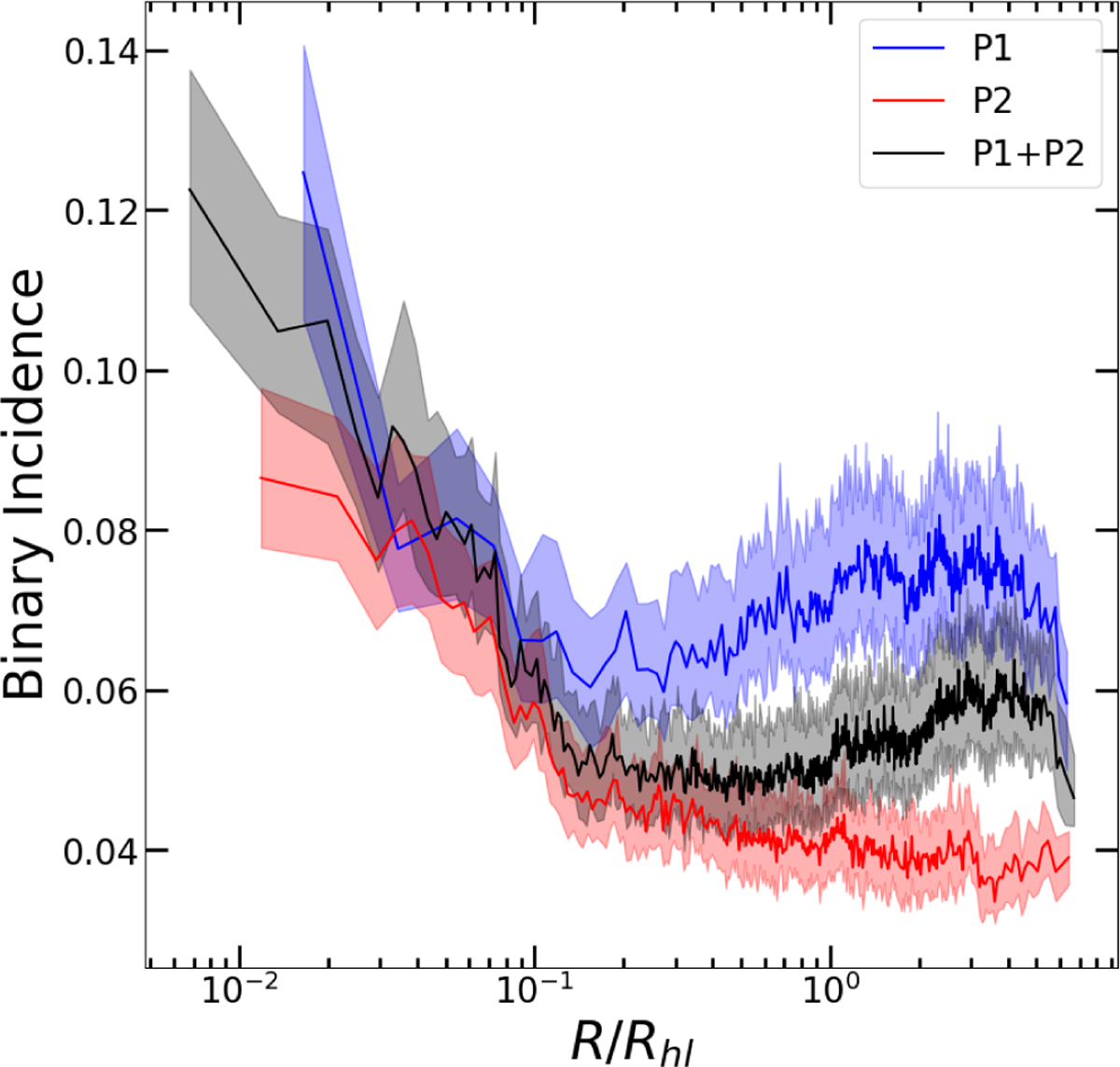
Radial profile of the incidence of binaries in P1 (blue), P2 (red), and both populations (black) as a function of the projected distance from the cluster center normalized to the projected half-light radius for the mr025c005fb10 simulation evolved to 12 Gyr. We report the median of 100 random realizations of the 2D spatial projection, with the shaded regions representing the 25th and 75th percentiles. Incidence refers to the fraction of objects within each population that are binaries (see Eq. (3)).

Current usage metrics show cumulative count of Article Views (full-text article views including HTML views, PDF and ePub downloads, according to the available data) and Abstracts Views on Vision4Press platform.

Data correspond to usage on the plateform after 2015. The current usage metrics is available 48-96 hours after online publication and is updated daily on week days.

Initial download of the metrics may take a while.