Open Access

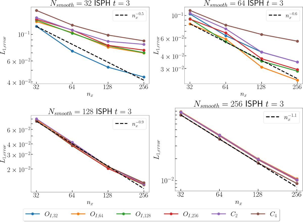
Fig. 8

image

Download original image

Convergence study of the Gresho-Chan vortex with the ISPH method for Nsmooth = 32,64,128,256. Here we plot the L1,error over the resolution elements in the x direction (nx) at t = 3. Significant improvements can be seen for the optimized kernels at Nsmooth = 32,64 compared to the Wendland C2 and C4 kernels. While at higher Nsmooth, there is much less difference between all the kernels. The kernels were optimized in respect to an earlier time, t = 1, and we observed that C4 performs better at this later time for Nsmooth = 256 than all the optimized kernels at all resolutions. This is surprising, as E0 errors of the optimized kernels are much lower than the C4 kernel (see Fig. 9), which might indicate that long-term behavior at this Nsmooth is heavily determined by the higher order errors (O(h2)).

Current usage metrics show cumulative count of Article Views (full-text article views including HTML views, PDF and ePub downloads, according to the available data) and Abstracts Views on Vision4Press platform.

Data correspond to usage on the plateform after 2015. The current usage metrics is available 48-96 hours after online publication and is updated daily on week days.

Initial download of the metrics may take a while.