Open Access

Fig. 9

image

Download original image

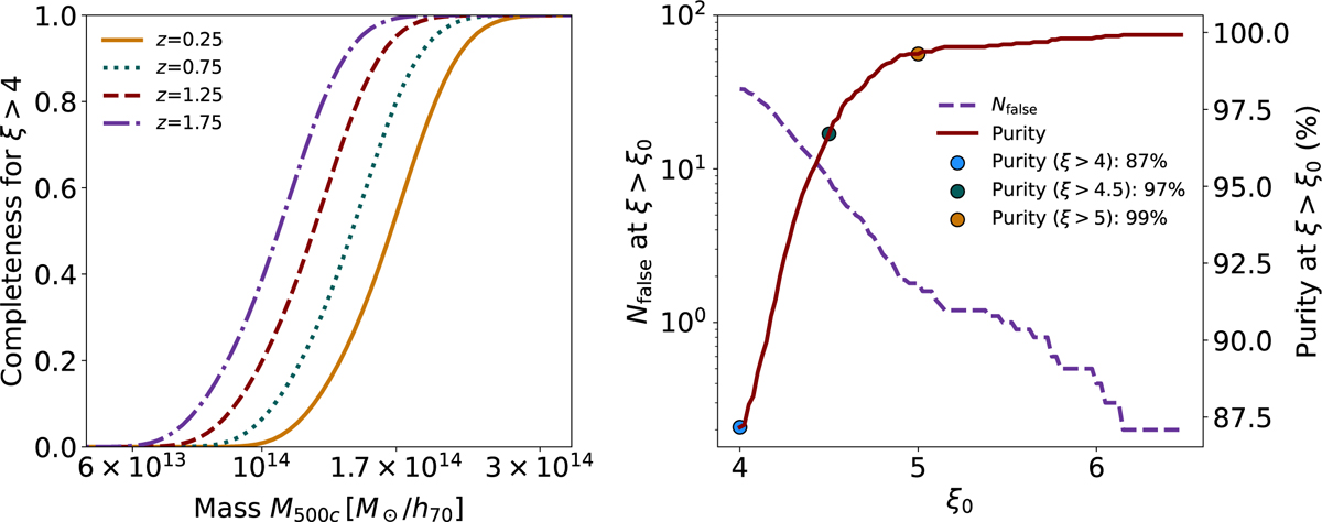
Left panel : completeness of the SPT-3G EDF-S cluster catalog as a function of mass at four different slices in redshift, z = 0.25,0.75,1.25, and 1.75. The sample is expected to be more than 90% complete above 2.5 × 1014 M/h70 at z > 0.25. Right panel : number of false detections and purity of the cluster catalog as a function of minimum detection significance. We find a purity of 99% at ξ> 5, which was also found in previous SPT publications, and a purity of 87% above the minimum significance threshold of ξ = 4, corresponding to about 30 predicted false detections in the catalog.

Current usage metrics show cumulative count of Article Views (full-text article views including HTML views, PDF and ePub downloads, according to the available data) and Abstracts Views on Vision4Press platform.

Data correspond to usage on the plateform after 2015. The current usage metrics is available 48-96 hours after online publication and is updated daily on week days.

Initial download of the metrics may take a while.