Open Access

Fig. 4.

image

Download original image

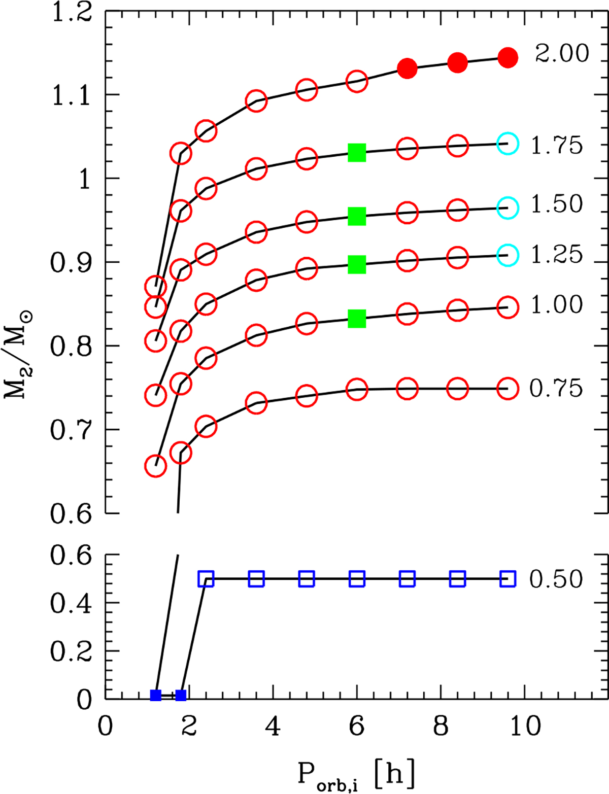
Final masses and types of donor remnants as a function of the initial mass and orbital period. Models connected with black lines have the same initial masses, given as labels in solar units. Filled blue squares correspond to UCXBs that avoid final WD–NS merging. Hollow blue squares denote models that do not undergo RLOF before WD–NS merging. Hollow (filled) red circles correspond to models that yield CO (ONeMg) WD–NS merging, while hollow cyan circles denote CO WD binaries that do not have time to reach the HCB stage. Filled green squares denote the plausible progenitors of PSR J1928+1815 that eventually experience CO WD–NS merging.

Current usage metrics show cumulative count of Article Views (full-text article views including HTML views, PDF and ePub downloads, according to the available data) and Abstracts Views on Vision4Press platform.

Data correspond to usage on the plateform after 2015. The current usage metrics is available 48-96 hours after online publication and is updated daily on week days.

Initial download of the metrics may take a while.