Open Access

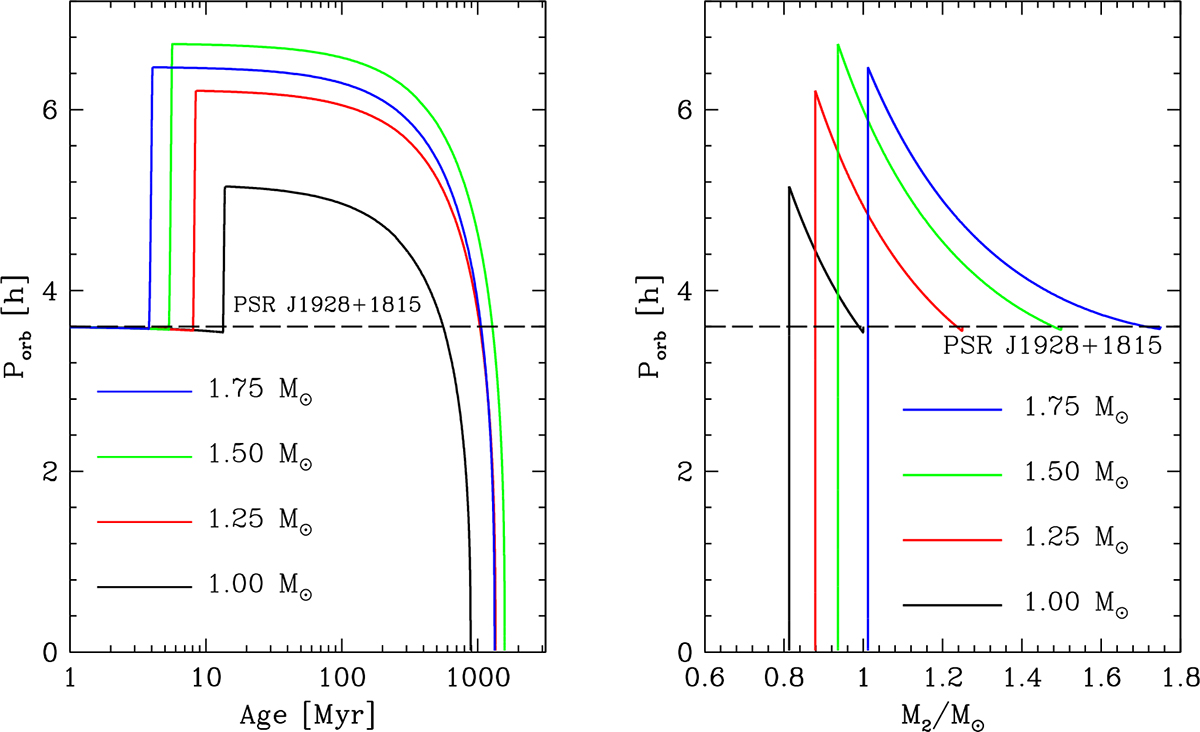
Fig. 3.

image

Download original image

Left: Evolution of the orbital period for the systems presented in Fig. 2. A rapid increase in the period occurs when mass transfer begins (almost vertical path on the right). After the donor star detaches with the maximum orbital period, GW radiation drives the orbit to shrink, eventually leading to the occurrence of another RLOF under HCB conditions. Right: Orbital period of these systems as a function of the donor mass.

Current usage metrics show cumulative count of Article Views (full-text article views including HTML views, PDF and ePub downloads, according to the available data) and Abstracts Views on Vision4Press platform.

Data correspond to usage on the plateform after 2015. The current usage metrics is available 48-96 hours after online publication and is updated daily on week days.

Initial download of the metrics may take a while.