Open Access

Fig. A.4

image

Download original image

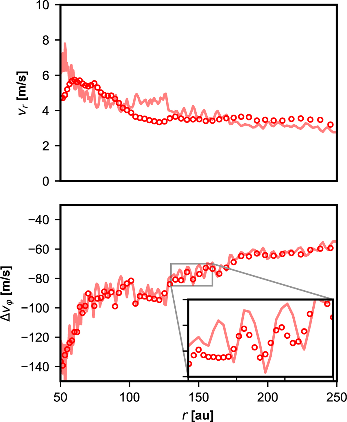
Gas velocities for a continuous dust size distribution with a power-law index of −3.5, ranging from 0.1 μm to 1 cm at a dust-to-gas ratio of fdtg=0.1. The solid lines show the semi-analytic solutions from Eqs. 70 (top panel) and 71 (bottom panel) in Benítez-Llambay et al. (2019), based on the gas density profile after ten orbits. Circles indicate the corresponding gas velocities computed by Dusty FARGO-ADSG at the same output time.

Current usage metrics show cumulative count of Article Views (full-text article views including HTML views, PDF and ePub downloads, according to the available data) and Abstracts Views on Vision4Press platform.

Data correspond to usage on the plateform after 2015. The current usage metrics is available 48-96 hours after online publication and is updated daily on week days.

Initial download of the metrics may take a while.