Open Access

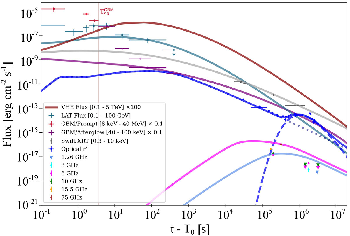
Fig. 3.

image

Download original image

Modelling of the multi-wavelength light curves with synchrotron and SSC scenario compared with early and late time afterglow observations for GRB 230812B. Predictions for the model are displayed in solid colored lines. The SN component is shown in dashed blue line. The corresponding instruments and energy bands are listed in the legend of the plot (see Sect. 2).

Current usage metrics show cumulative count of Article Views (full-text article views including HTML views, PDF and ePub downloads, according to the available data) and Abstracts Views on Vision4Press platform.

Data correspond to usage on the plateform after 2015. The current usage metrics is available 48-96 hours after online publication and is updated daily on week days.

Initial download of the metrics may take a while.