Open Access

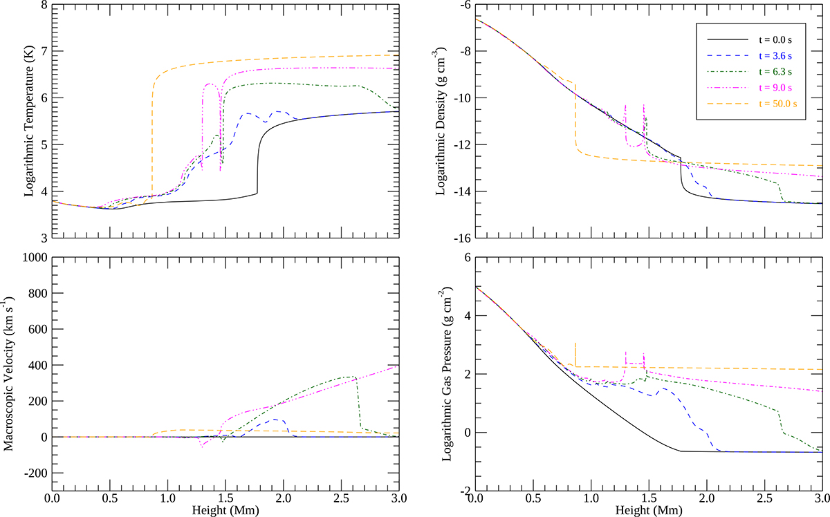
Fig. 7.

image

Download original image

Logarithmic temperature (top left), logarithmic density (top right), macroscopic velocity (bottom left), and logarithmic gas pressure (bottom right) as a function of height above the τ500 nm = 1 photosphere at various times (indicated in the top-right corner of the top-right panel) for case 1.

Current usage metrics show cumulative count of Article Views (full-text article views including HTML views, PDF and ePub downloads, according to the available data) and Abstracts Views on Vision4Press platform.

Data correspond to usage on the plateform after 2015. The current usage metrics is available 48-96 hours after online publication and is updated daily on week days.

Initial download of the metrics may take a while.