Open Access

Fig. 5

image

Download original image

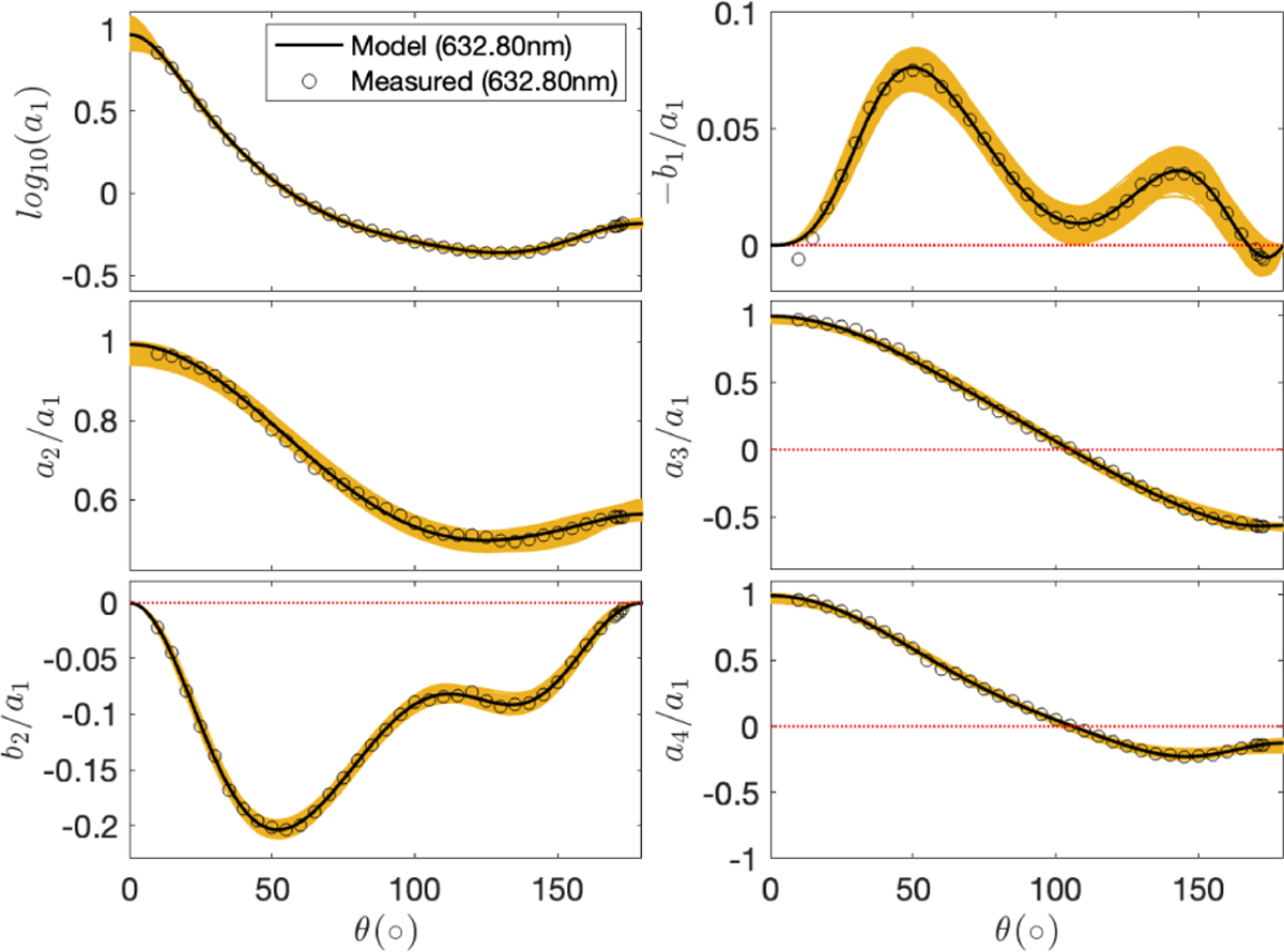
Scattering phase matrix elements for the hematite sample: measurements (circles; Granada-Amsterdam Light Scattering Database) and modeling (solid line; empirical system). The uncertainty envelope (orange) depicts the minimum and maximum values from 10 000 MCMC sample solutions.

Current usage metrics show cumulative count of Article Views (full-text article views including HTML views, PDF and ePub downloads, according to the available data) and Abstracts Views on Vision4Press platform.

Data correspond to usage on the plateform after 2015. The current usage metrics is available 48-96 hours after online publication and is updated daily on week days.

Initial download of the metrics may take a while.