Open Access

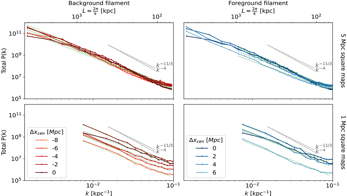
Fig. 7.

image

Download original image

Comparison of the total velocity field power spectra. The top and bottom rows present spectra computed from 5 and 1 Mpc square maps, respectively. The left column presents the total velocity field power spectra in slices in the background filament, that is, from red to black at Δxcen = { − 8, −6, −4, −2} Mpc, and in the Virgo core for comparison. The right column presents the total velocity field power spectra in slices in the foreground filament, that is, from black to blue at Δxcen = {2, 4, 6} Mpc, and also in the Virgo core for comparison. For comparison, we show the slopes predicted by Kolmogorov’s (P(k)∝k−11/3) subsonic turbulence theory and Burgers’ (P(k)∝k−4) supersonic turbulence theory.

Current usage metrics show cumulative count of Article Views (full-text article views including HTML views, PDF and ePub downloads, according to the available data) and Abstracts Views on Vision4Press platform.

Data correspond to usage on the plateform after 2015. The current usage metrics is available 48-96 hours after online publication and is updated daily on week days.

Initial download of the metrics may take a while.