Open Access

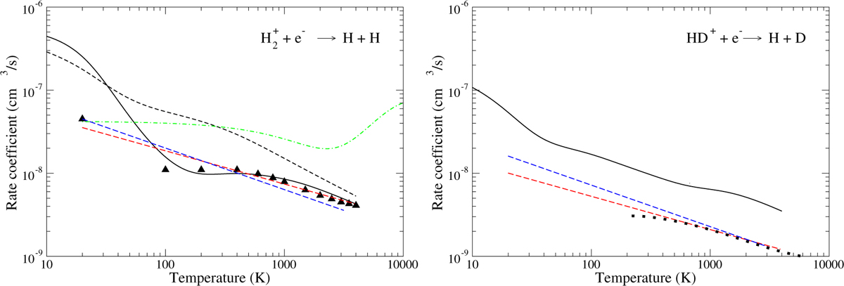
Fig. 8

image

Download original image

Comparison of thermal rate coefficients for the DR of H2+$\mathrm{H}_{2}^{+}$and HD+. Left panel: DR of H2+$\mathrm{H}_{2}^{+}$. dashed blue and dashed red lines: fits by Galli & Palla (1998) and Stancil et al. (1998), respectively, of the thermal rate coefficient computed by Schneider et al. (1994) (triangles); dash-dotted green line: fit of the rate computed by Coppola et al. (2011) from the cross sections by Takagi (2002); solid black line: thermal rate, this work; dashed black line: Frank-Condon averaged rate, this work. Right panel: same for HD+. dashed blue and dashed red lines: extrapolations by Galli & Palla (1998) and Stancil et al. (1998), respectively, of the thermal rate coefficient computed from the experimental cross section by Strömholm et al. (1995) (dots).

Current usage metrics show cumulative count of Article Views (full-text article views including HTML views, PDF and ePub downloads, according to the available data) and Abstracts Views on Vision4Press platform.

Data correspond to usage on the plateform after 2015. The current usage metrics is available 48-96 hours after online publication and is updated daily on week days.

Initial download of the metrics may take a while.