Open Access

Fig. 3

image

Download original image

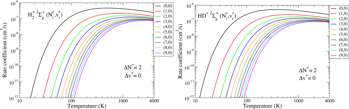
Left panel: electron-impact rotational excitation (ΔN+=Nf+-Ni+=2$\Delta N^{+}=N_{f}^{+}-N_{i}^{+}=2$), (Δv+=vf+-vi+=0$\Delta v^{+}=v_{f}^{+}-v_{i}^{+}=0$) rate coefficients of H2+$\mathrm{H}_{2}^{+}$from its ground 2Σg+${ }^{2} \Sigma_{g}^{+}$ electronic state and for the first ten initial ro-vibrational levels (Ni+,vi+$N_{i}^{+}, v_{i}^{+}$), where vi+=0$v_{i}^{+}=0$. Right panel: same for HD+.

Current usage metrics show cumulative count of Article Views (full-text article views including HTML views, PDF and ePub downloads, according to the available data) and Abstracts Views on Vision4Press platform.

Data correspond to usage on the plateform after 2015. The current usage metrics is available 48-96 hours after online publication and is updated daily on week days.

Initial download of the metrics may take a while.