Open Access

Fig. 9

image

Download original image

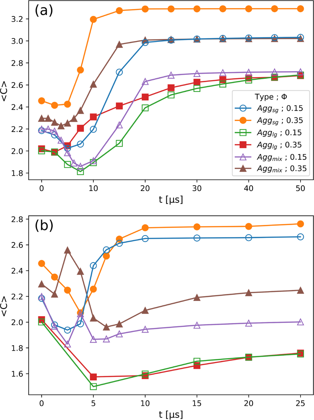
Time evolution of the mean coordination of the six cases with: (a) v = 10 m s−1, where all outcomes are adhesion, (b) v = 40 m s−1, where all outcomes are fragmentation. The values of the final mean coordination number 〈Cf for each case are reported in the same order as the legend (from top to bottom): (a) 3.03, 3.29, 2.69, 2.68, 2.72, 3.02; (b) 2.66,2.76,1.8,1.81,2.0, and 2.25.

Current usage metrics show cumulative count of Article Views (full-text article views including HTML views, PDF and ePub downloads, according to the available data) and Abstracts Views on Vision4Press platform.

Data correspond to usage on the plateform after 2015. The current usage metrics is available 48-96 hours after online publication and is updated daily on week days.

Initial download of the metrics may take a while.