Open Access

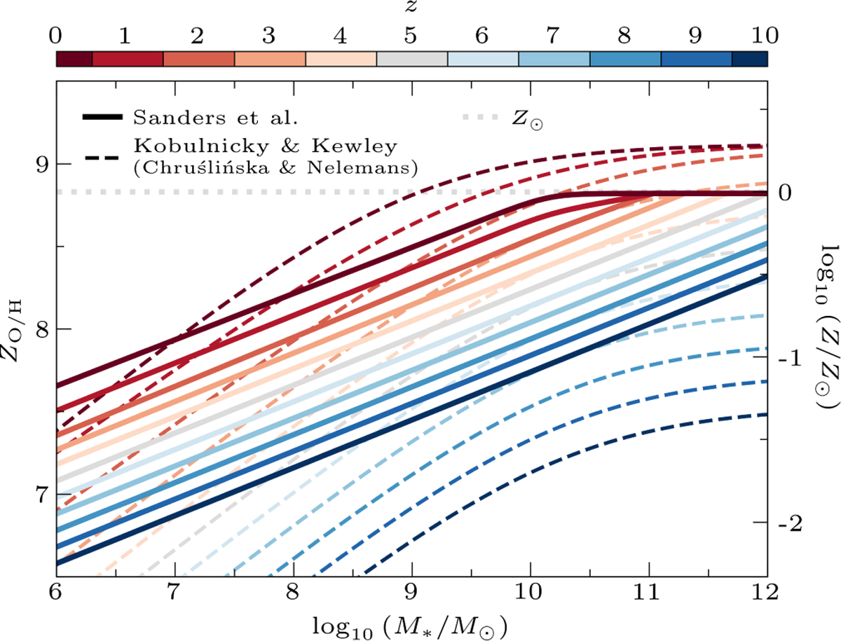
Fig. 2

image

Download original image

Mass–metallicity relation (Eqs. (7)(9), whose parameters are listed in Table 2), extrapolated from Sanders et al. (2021, solid lines), for 0 ≤ z ≤ 10 (colour scale), comparing metallicities given in ZO/H (left axis) and Z (right axis, through Eq. (6)). The dashed lines show the Kobulnicky & Kewley (2004) MZR (fitted by Chruślińska & Nelemans 2019) and the grey dotted line shows solar metallicity.

Current usage metrics show cumulative count of Article Views (full-text article views including HTML views, PDF and ePub downloads, according to the available data) and Abstracts Views on Vision4Press platform.

Data correspond to usage on the plateform after 2015. The current usage metrics is available 48-96 hours after online publication and is updated daily on week days.

Initial download of the metrics may take a while.