Open Access

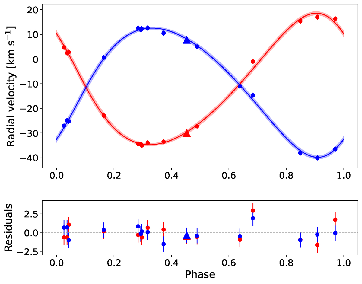
Fig. 2.

image

Download original image

Radial velocity curve of BD+20 5391 for components A (red) and B (blue). Circles show measurements obtained with the OES, and the triangles mark the HERMES measurement.

Current usage metrics show cumulative count of Article Views (full-text article views including HTML views, PDF and ePub downloads, according to the available data) and Abstracts Views on Vision4Press platform.

Data correspond to usage on the plateform after 2015. The current usage metrics is available 48-96 hours after online publication and is updated daily on week days.

Initial download of the metrics may take a while.