Open Access

Fig. 2.

image

Download original image

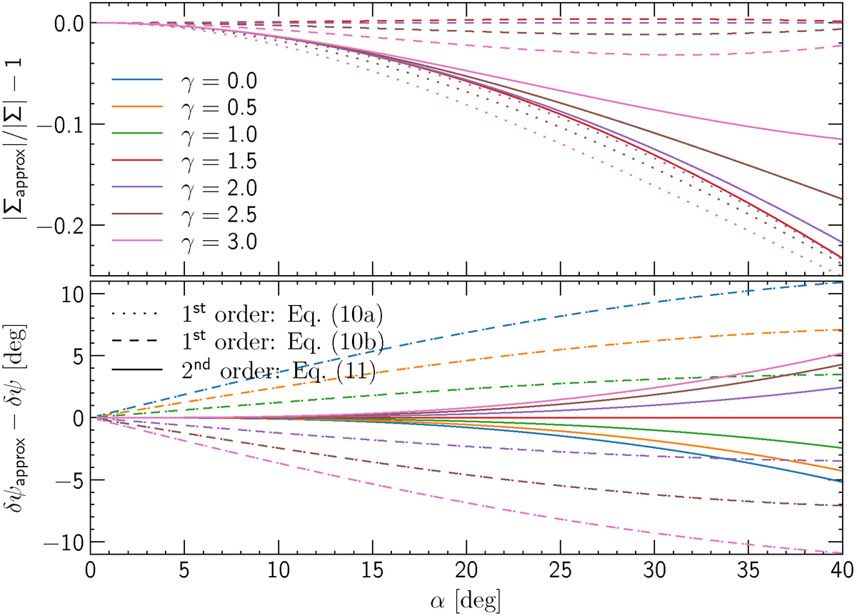
Assessing the tight-winding (WKB) approximation for scale-invariant spirals. The relative error of the density amplitude and the error in the phase offset δψ ≡ ψΨ − ψΣ are plotted vs. pitch angle α for m = 2 and various values of the exponent γ (for these scale-invariant models, the errors are the same at each radius). Since the first-order approximations give δψapprox = 0, their error reflects the actual phase offset of the models.

Current usage metrics show cumulative count of Article Views (full-text article views including HTML views, PDF and ePub downloads, according to the available data) and Abstracts Views on Vision4Press platform.

Data correspond to usage on the plateform after 2015. The current usage metrics is available 48-96 hours after online publication and is updated daily on week days.

Initial download of the metrics may take a while.