Open Access

Fig. 2.

image

Download original image

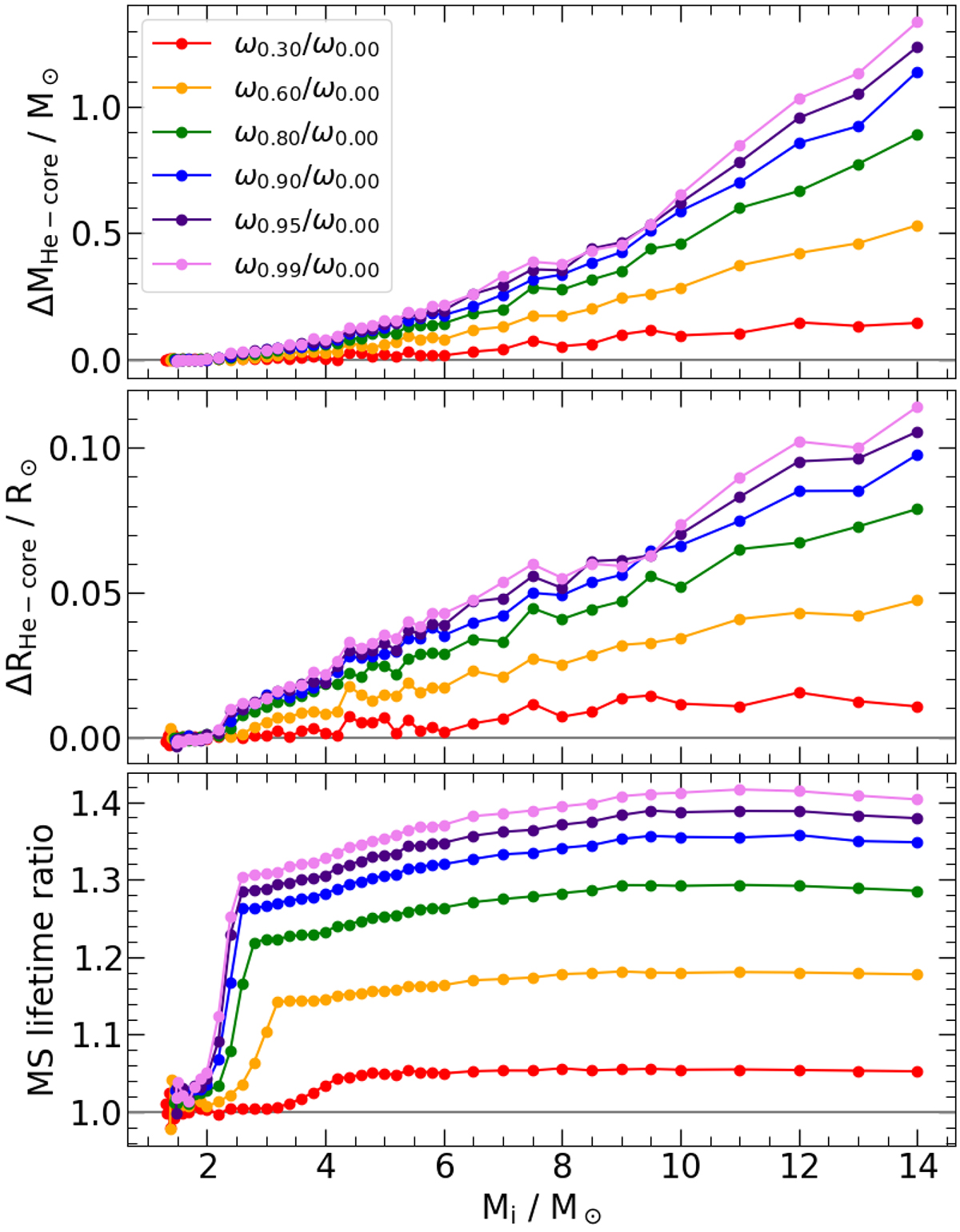
Difference between rotating models and their non-rotating counterparts in He-core mass (top panel), He-core radius (middle panel) at the TAMS (Xc ∼ 10−7), and the MS lifetime ratios (bottom panel). Models from low- to intermediate-mass are shown here with an initial metallicity Z = 0.02.

Current usage metrics show cumulative count of Article Views (full-text article views including HTML views, PDF and ePub downloads, according to the available data) and Abstracts Views on Vision4Press platform.

Data correspond to usage on the plateform after 2015. The current usage metrics is available 48-96 hours after online publication and is updated daily on week days.

Initial download of the metrics may take a while.