Open Access

Fig. 2

image

Download original image

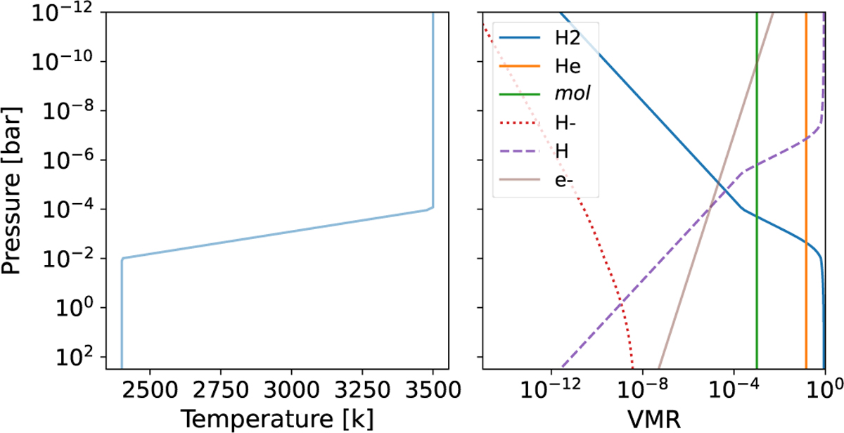
Left panel: temperature-pressure (TP) profile used for our CC analysis, from Yan et al. (2023). Right panel: VMRs adapted in the single-species models used in this paper. The string ‘mol’ denotes each of the investigated molecules.

Current usage metrics show cumulative count of Article Views (full-text article views including HTML views, PDF and ePub downloads, according to the available data) and Abstracts Views on Vision4Press platform.

Data correspond to usage on the plateform after 2015. The current usage metrics is available 48-96 hours after online publication and is updated daily on week days.

Initial download of the metrics may take a while.