Open Access

Fig. 3

image

Download original image

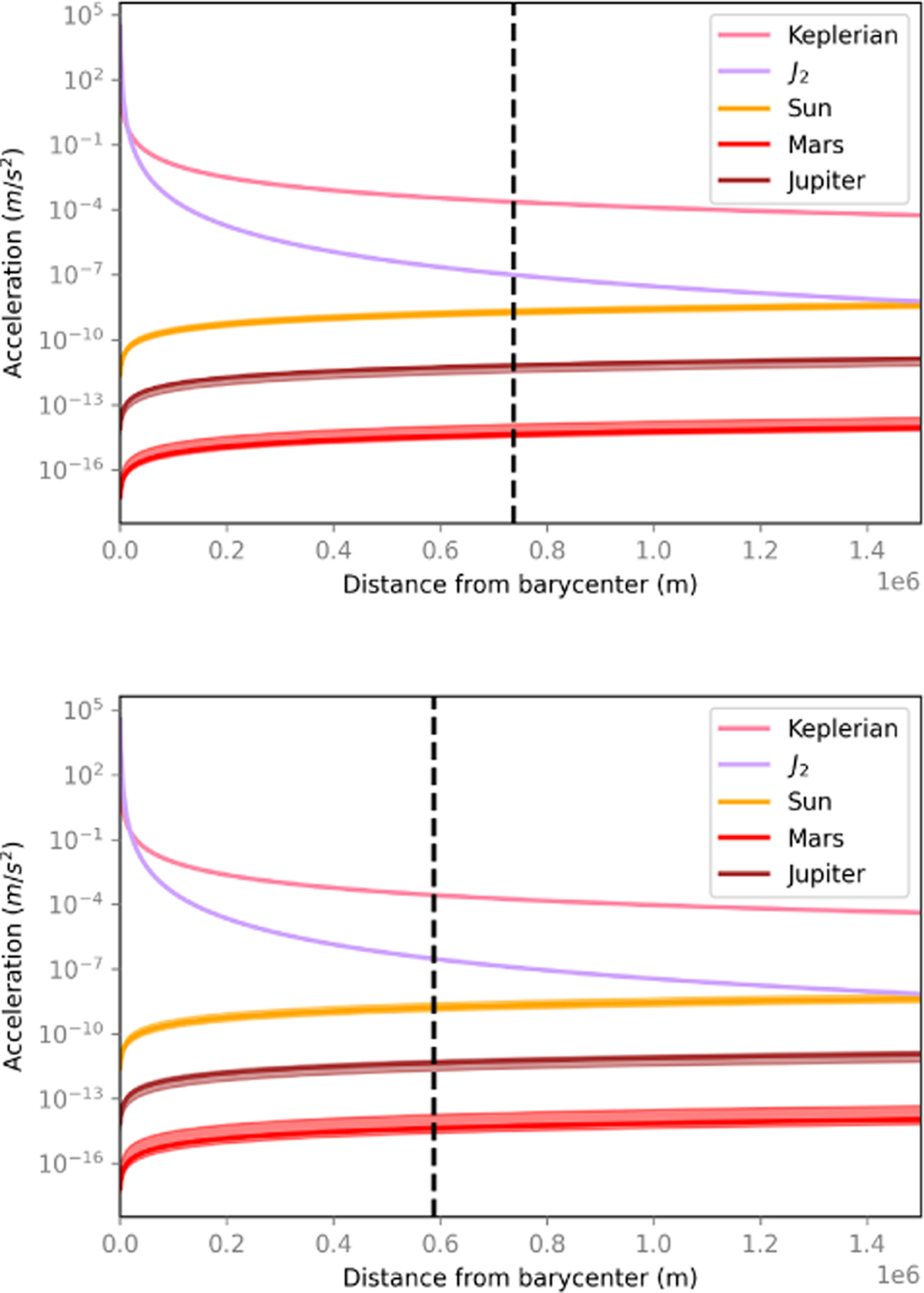
Expected gravitational force due to system gravity and external perturbers, as a function of satellite distance for Pulcova (upper panel) and Emma (lower panel). The shaded regions around planetary forces indicate the range of the force between the objects closest and farthest approach to the asteroid. At the positions of both Pulcamoon and Emmoon (marked with a dashed line), the contribution of external perturbers is negligible.

Current usage metrics show cumulative count of Article Views (full-text article views including HTML views, PDF and ePub downloads, according to the available data) and Abstracts Views on Vision4Press platform.

Data correspond to usage on the plateform after 2015. The current usage metrics is available 48-96 hours after online publication and is updated daily on week days.

Initial download of the metrics may take a while.