Open Access

Fig. B.1

image

Download original image

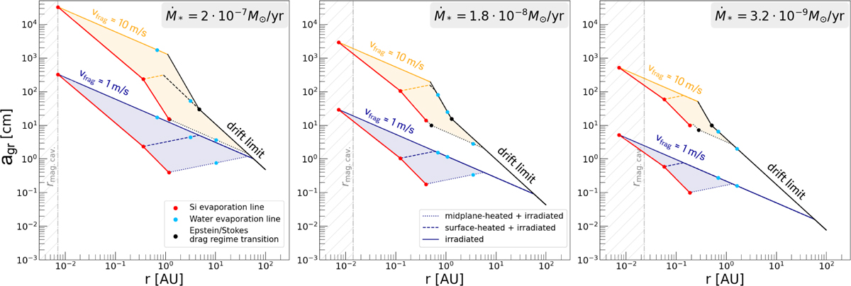
Pebble dimension as a function of their position for three different gas accretion rates (corresponding to t ≃ 0.1 Myr (left), t ≃ 1.0 Myr (central), and t ≃ 5.0 Myr (right)), different fragmentation velocities (blue and orange branches) and different disc models (solid, dashed, and dotted lines). This plot is complementary to Fig. 2 but shows dimensions in cm instead of Stokes numbers.

Current usage metrics show cumulative count of Article Views (full-text article views including HTML views, PDF and ePub downloads, according to the available data) and Abstracts Views on Vision4Press platform.

Data correspond to usage on the plateform after 2015. The current usage metrics is available 48-96 hours after online publication and is updated daily on week days.

Initial download of the metrics may take a while.