Open Access

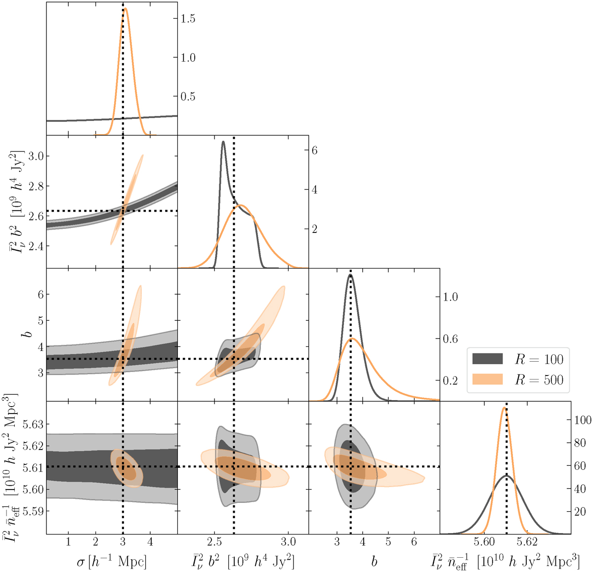
Fig. 10.

image

Download original image

Marginalised posterior distributions of the model parameters we obtained by fitting synthetic data for the LIM PS. The displayed results assume the optimistic [C II] LF and refer to survey D (grey) and D+ (orange). The shaded areas indicate the 68% (dark) and 95% (light) highest posterior density (HPD) regions (hereafter, credible regions). The dotted lines highlight the underlying true values.

Current usage metrics show cumulative count of Article Views (full-text article views including HTML views, PDF and ePub downloads, according to the available data) and Abstracts Views on Vision4Press platform.

Data correspond to usage on the plateform after 2015. The current usage metrics is available 48-96 hours after online publication and is updated daily on week days.

Initial download of the metrics may take a while.