Open Access

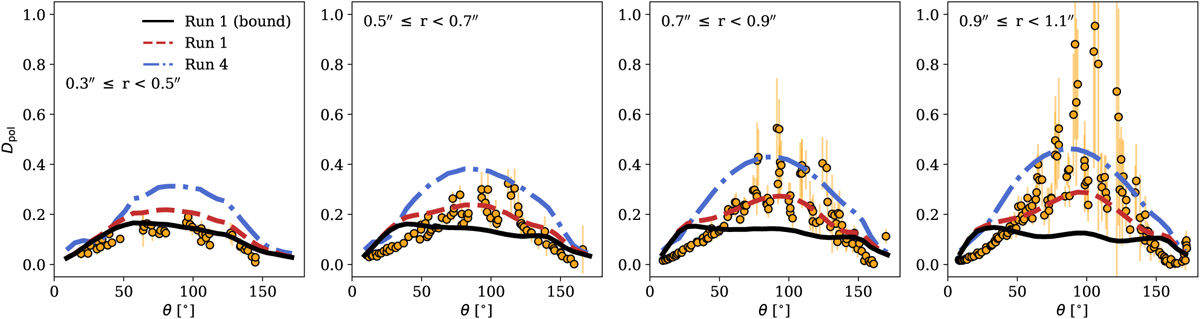
Fig. 10

image

Download original image

Degree of polarization as a function of the scattering angle for four concentric regions. Observations for HD 129590 are shown in orange circles. The different lines correspond to the degree of polarization measured from the modeled images for Run 1 (with and without the contribution of unbound grains) and Run 4.

Current usage metrics show cumulative count of Article Views (full-text article views including HTML views, PDF and ePub downloads, according to the available data) and Abstracts Views on Vision4Press platform.

Data correspond to usage on the plateform after 2015. The current usage metrics is available 48-96 hours after online publication and is updated daily on week days.

Initial download of the metrics may take a while.