Open Access

Fig. 10.

image

Download original image

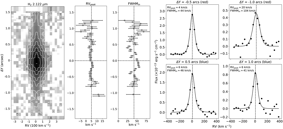
Distribution of the H2 2.122 μm emission along the jet. Left image: PV diagram of the H2 2.122 μm line along the jet axis of Th 28, obtained by integrating the fluxes in the 22 spectral frames over the direction perpendicular to the jet. Logarithmic contours are drawn from 2  ×  10−14 erg s−1 cm−2 arcsec−2 Å−1, with an incremental logarithmic step of 0.3 dex. Two central panels show the derived RVpeak and FWHMin as a function of distance from the source. A vertical line at 5 km s−1 in the RV panel marks possible systemic RV shift for the line; an average value of FWHMin is 43 km s−1 (vertical line). Right four panels: Spectral profiles across the jet at selected positions within an ±1″ area in the blue and red lobes (black points). The data were fit using a Moffat function (solid line); the derived peak RV and intrinsic FWHM are shown at the top of each panel.

Current usage metrics show cumulative count of Article Views (full-text article views including HTML views, PDF and ePub downloads, according to the available data) and Abstracts Views on Vision4Press platform.

Data correspond to usage on the plateform after 2015. The current usage metrics is available 48-96 hours after online publication and is updated daily on week days.

Initial download of the metrics may take a while.