Open Access

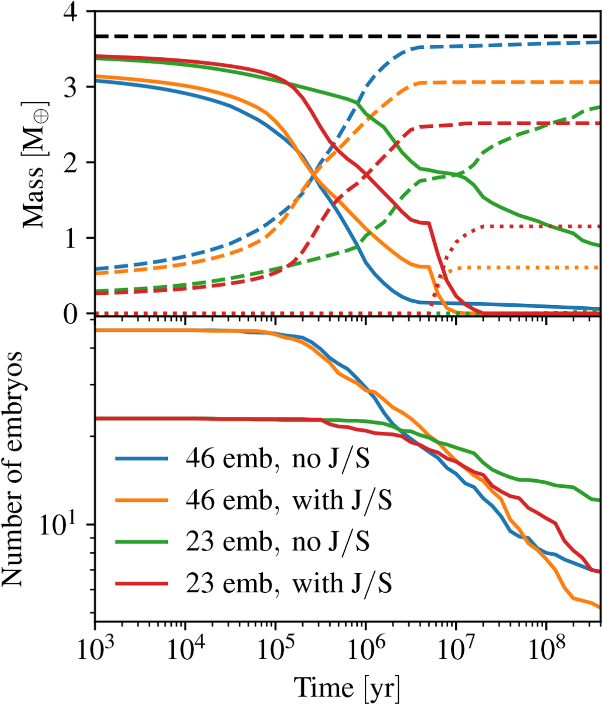
Fig. 12

image

Download original image

Average over the 10 simulations for each set of parameters. The top panels show the masses of solids (excepting the outer giant planets in the relevant cases) in the protoplanetary disc, that is still in planetesimals (solid lines), accreted by the embryos (dashed lines) and ejected (dotted lines). The dashed black line denotes the total mass of solids in each simulation. The bottom panel shows the number of embryos that remain. The ‘J/S’ in the legend refers to Jupiter and Saturn.

Current usage metrics show cumulative count of Article Views (full-text article views including HTML views, PDF and ePub downloads, according to the available data) and Abstracts Views on Vision4Press platform.

Data correspond to usage on the plateform after 2015. The current usage metrics is available 48-96 hours after online publication and is updated daily on week days.

Initial download of the metrics may take a while.