Open Access

Fig. 1

image

Download original image

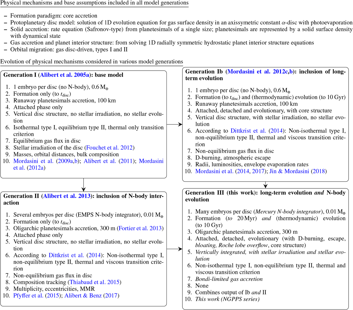
Overview of the physical mechanisms included in the Bern model. At the top, the processes and base assumptions made in all model generations are given. The four boxes below show the four model generations with the main paper introducing each generation. The further points are: (1) number of initial embryos per disc, N-body integrator type, initial embryo mass, (2) phases simulated, (3) planetesimal accretion mode and planetesimal size, (4) phases withcalculation of the planets’ internal structure, (5) disc model characteristics, (6) orbital migration: type I, type II, transition criterion from type I to II (here thermal refers to a criterion only with the ratio between the Hill radius and the scale height of the disc, while ‘thermal and viscous’ refers to the full criterion of Crida et al. 2006), (7) disc-limited gas accretion rate, (8) later additions and improvements, (9) additional output relative to older generation, (10) population synthesis publications using this generation. In the bottom right panel, text in italic indicates new elements.

Current usage metrics show cumulative count of Article Views (full-text article views including HTML views, PDF and ePub downloads, according to the available data) and Abstracts Views on Vision4Press platform.

Data correspond to usage on the plateform after 2015. The current usage metrics is available 48-96 hours after online publication and is updated daily on week days.

Initial download of the metrics may take a while.