Free Access

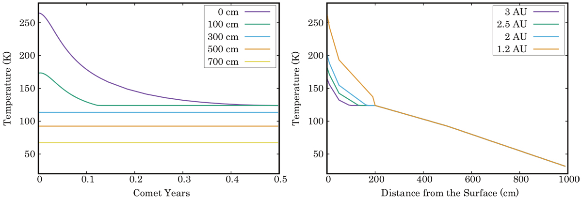
Fig. 2

image

Temperature distribution model for inside of the comet 67P/Churyumov-Gerasimenko. Left: vertical temperature distribution of the surface of 67P/Churyumov-Gerasimenko as a function of distance from the Sun. Right: temperature distribution at varying distance from the surface as a function of time in comet years. The time of 0 yr corresponds to the position of perihelion.

Current usage metrics show cumulative count of Article Views (full-text article views including HTML views, PDF and ePub downloads, according to the available data) and Abstracts Views on Vision4Press platform.

Data correspond to usage on the plateform after 2015. The current usage metrics is available 48-96 hours after online publication and is updated daily on week days.

Initial download of the metrics may take a while.