Free Access

Fig. 1

image

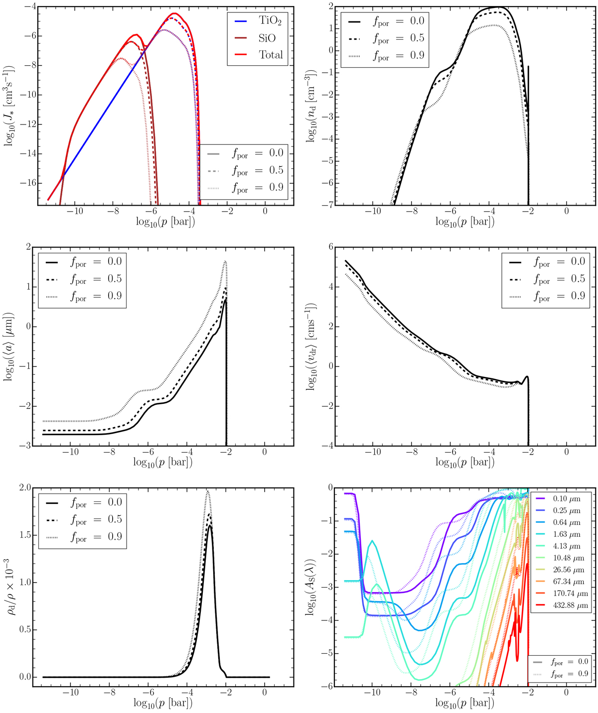
Material and optical properties of cloud particles in an atmosphere representative of a warm gas giant, Teff = 1800 K, log (g) = 3.0, for a cloud particle micro-porosity fpor = 0.0, 0.5, 0.9 (the bottom right panel shows only fpor = 0.0, 0.9 for clarity). Top left: nucleation rates for individual species Ji [ s−1] i = TiO2[s] (blue), SiO[s] (brown), and the total J* = ΣiJi (red). Top right: number density nd [cm−3] of cloud particles. Middle left: mean cloud particle size ⟨ a ⟩ [μm]. Middle right: mean drift velocity ⟨ vdr ⟩ [cm s−1] for cloud particles of size ⟨ a ⟩. Bottom left: ratio of the cloud particle mass density and gas mass density (ρdρ) scaled by a factor of 10−3. Bottom right: single-scattering albedo as defined in Eq. (6) for wavelengths λ = 0.1, 0.25, 0.64, 1.63, 4.13, 10.48, 26.56, 67.34, 170.74, and 432.88 μm (colours as shown in the legend).

Current usage metrics show cumulative count of Article Views (full-text article views including HTML views, PDF and ePub downloads, according to the available data) and Abstracts Views on Vision4Press platform.

Data correspond to usage on the plateform after 2015. The current usage metrics is available 48-96 hours after online publication and is updated daily on week days.

Initial download of the metrics may take a while.