Free Access

Fig. 9

image

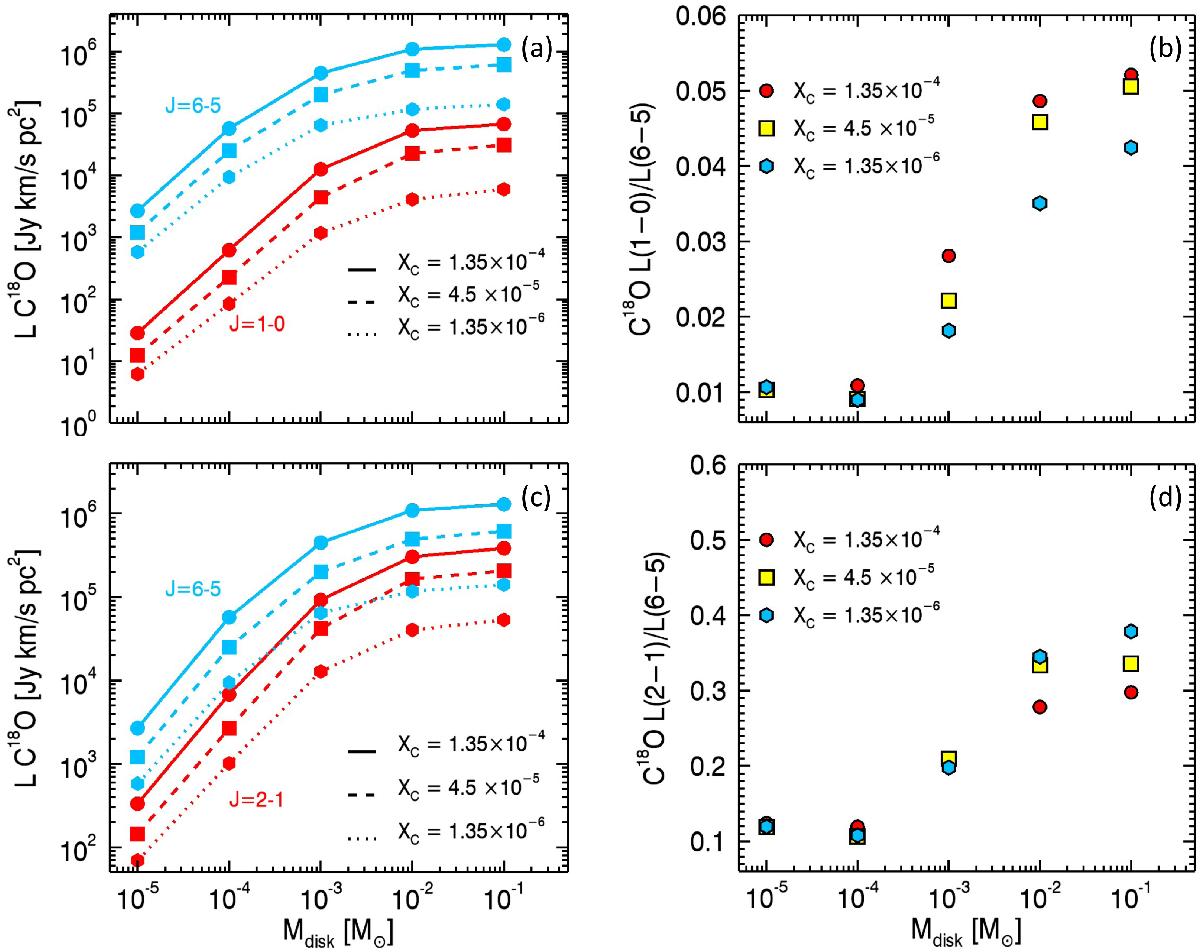
Results of T Tauri disk models with carbon abundances reduced by factors of three and ten. Panel a) shows C18O J = 1−0 and J = 6−5 line luminosities as a function of the disk mass (respectively in red and blue), and panel c) the C18O J = 2−1 and J = 6−5 line luminosities. The models with ISM-like carbon abundances are shown by the solid lines, those with a factor of 3 of carbon depletion by the dashed lines and those with a factor of 10 depletion by the dotted lines. Panel b) shows C18O J = 1−0 /J = 6−5 line luminosity ratios as a function of the disk mass, and panel d) the J = 2−1 /J = 6−5 ratios. The models with ISM-like carbon abundances are shown by the red circles, those with a factor of 3 of carbon depletion by yellow squares and those with a factor of 10 depletion by the blue hexagons. Model disk parameters: Rc = 60 au, γ = 0.8, hc = 0.1, ψ = 0.1, and Mdisk = 10-5, 10-4, 10-3, 10-2, 10-1 M.

Current usage metrics show cumulative count of Article Views (full-text article views including HTML views, PDF and ePub downloads, according to the available data) and Abstracts Views on Vision4Press platform.

Data correspond to usage on the plateform after 2015. The current usage metrics is available 48-96 hours after online publication and is updated daily on week days.

Initial download of the metrics may take a while.